登录| 注册    
收藏  点赞 

自然死亡系数

鱼类从发生到老死,其自然死亡系数M值并非恒定,早期阶段的自然死亡率很高,寿命终结时,自然死亡率也较大。一般认为在捕捞利用的生命阶段内,其自然死亡率相对较为稳定。因此,在资源评估分析中,为简化计算,往往将自然死亡系数作常数处理。由于自然死亡规律的研究还很不充分,存在不少问题。目前,自然死亡系数M值的估算方法有:①利用未开发种群的首次渔获量曲线估算M值。

鱼类从发生到老死,其自然死亡系数M值并非恒定,早期阶段的自然死亡率很高,寿命终结时,自然死亡率也较大。一般认为在捕捞利用的生命阶段内,其自然死亡率相对较为稳定。因此,在资源评估分析中,为简化计算,往往将自然死亡系数作常数处理。由于自然死亡规律的研究还很不充分,存在不少问题。

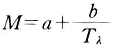
目前,自然死亡系数M值的估算方法有:①利用未开发种群的首次渔获量曲线估算M值。即根据首次捕捞的渔获物(用选择性较小的渔具,如拖网)年龄组成或体长组成,用上述估算总死亡系数Z的方法进行估算。因刚开发利用,捕捞死亡可视作零。估算的总死亡系数即为自然死亡系数。②从总死亡系数中分离出自然死亡系数。若有多年的或两个以上不同时期、不同水平的捕捞努力量统计资料和能估算总死亡系数的渔获物年龄组成资料,可利用Z=M+F=M+qf公式,通过线性回归法或解方程的方法估算M值和可捕系数q值。③根据自然死亡系数与该鱼种的最高年龄Tλ(寿命)之间的线性回归的函数关系估算M值。M值对最高年龄的倒数之间的回归方程为:

自然死亡系数

利用前人研究已知的鱼种寿命和自然死亡系数的资料可算出式中参数a和b。若已掌握新研究对象的最高年龄,即可估算出自然死亡系数M值。④用鱼类栖息环境的平均温度和生长参数估算其自然死亡系数M值。波利(D.Pauly,1980)利用175个群体数据计算出的相关公式为:

自然死亡系数

式中 l为最大鱼体长度;K为生长系数;为环境平均温度。