登录| 注册    
收藏  点赞 

渔获量预报

用以预测特定海域和期限内的可能渔获量。预报对象可以是单一种类或多种类,是确定渔获量限额,安排生产计划、渔船调配以及后勤保障的重要依据之一。预报方法常用的有统计分析预报和世代分析预报。统计分析预报根据捕捞对象的渔获量与生物和非生物环境因子,以及该捕捞对象生物学特性等多年统计资料,从中选取与预报期间渔获量关系密切的因子作为预报指标,经统计分析作出预报。

渔业预报的一种。用以预测特定海域和期限内的可能渔获量。预报对象可以是单一种类或多种类,是确定渔获量限额,安排生产计划、渔船调配以及后勤保障的重要依据之一。预报方法常用的有统计分析预报和世代分析预报。

统计分析预报

根据捕捞对象的渔获量与生物和非生物环境因子,以及该捕捞对象生物学特性等多年统计资料,从中选取与预报期间渔获量关系密切的因子作为预报指标,经统计分析作出预报。常用的统计分析方法有相关法、相似法和时序分析法等。①相关法。运用回归分析,从众多非确定性联系中寻找出统计相关关系,从一个或几个预报指标有效地预测与其统计相关的预报值。相关法简明、易掌握,但各相关关系仅是表面现象的联系,预报在一定程度上带有主观性。②相似法。以历史资料为基础,将当年的情况与历史上各年情况相比较,以最相似年份的情况作预报。也可通过聚类分析等方法将历史资料分类,在分类基础上进行判别,从而使相似法更系统化、定量化。③时序分析法。根据某一指标的长期资料,经过统计处理,从不规则的表面现象中找出某种规律来,如渔获量变动规律和变动周期等,据此作出预报。

世代分析预报

根据捕捞对象各世代补充量剩余量渔获量变动的关系,在掌握多年捕捞群体年龄组成和渔获量的统计资料基础上,推算在渔获中起作用的各世代的资源量,结合资源利用率等估算可能渔获量。对捕捞群体剩余量的评估较多采用捕捞方程或波普(Pope)近似计算方程。

捕捞方程的计算公式为:

渔获量预报

式中 Ci、Ni、Mi、Fi、Zi和Ei分别表示某个世代第i龄的渔获尾数、资源尾数、自然死亡系数捕捞死亡系数总死亡系数和利用率。通过渔获物年龄组成和渔获量等已知条件,可求得第i龄的各项参数。依此递次计算前一年或滞后一年的各项参数,从而估算出整个世代资源量和剩余量

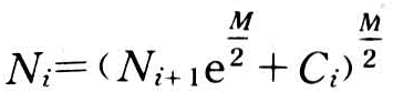
波普近似计算方程的计算公式为:

渔获量预报

式中 将年渔获量全部当作年中瞬时捕捞来处理。若M和Ci为已知,只要估算出Ni+1,就可简易地连续计算出Ni,Ni-1,Ni-2,……。在给出每年初残存尾数后,就能计算出年残存率和捕捞死亡系数,由此能求得所有其他参数。实践表明,当M≤0.3和Fi≤1.2时,该方程的近似值相当准确。

准确地评估补充量较为困难,可根据掌握的资料选用:①前几年世代分析所得补充量的平均值;②以前几年世代分析所得亲鱼量与补充量建立相关关系,由当时的亲鱼量求算预报阶段的补充量;③在预报对象稚幼鱼大量出现的海域进行有效的调查探捕,取得各年稚幼鱼资源量指数,与世代分析所得亲鱼量建立相关关系,由当时的这一指数值,求得预报时期的补充量等。

世代分析法在下列条件下也可以渔获物的体长组成资料取代年龄组成资料。即把资源变动时间单位“年”,改变为各体长间隔所经历的时间(△t)作为资源量变动的时间单位,以渔获物的体长组成取代年龄组成进行评估。这些条件是:①渔获物中各个世代的年龄组成资料代表性较好;②捕捞对象的年龄序列较长,为捕捞死亡系数Fi初始值选择高龄鱼创造条件;③捕捞对象各年的捕捞死亡系数相当高;④捕捞对象的自然死亡系数M不随年龄而变动等,能取得较满意效果,尤其是以剩余群体为主的捕捞对象。