登录| 注册    
收藏  点赞 

渔具模型水池试验

测试渔具的模拟方法之一。将渔具模型置于专用的试验水池中,模拟实际作业,进行测试、观察和研究模型受力和形状变化之间的关系。为设计和改进渔具、提高生产效率提供依据。渔具的某些属具如网板、浮子、沉子也可以通过水池试验加以研究、改进。渔具模型试验的水池有静水池和动水池两种。也可利用稍经改建的天然水道或浅水水域从事大比例的模型网测试。渔具模型试验专用静水池长约100米,宽4~6米,深2~5米。

测试渔具的模拟方法之一。将渔具模型置于专用的试验水池中,模拟实际作业,进行测试、观察和研究模型受力和形状变化之间的关系。为设计和改进渔具、提高生产效率提供依据。渔具的某些属具如网板、浮子、沉子也可以通过水池试验加以研究、改进。

渔具模型试验的水池有静水池和动水池两种。也可利用稍经改建的天然水道或浅水水域从事大比例的模型网测试。

渔具模型试验专用静水池长约100米,宽4~6米,深2~5米。中国和日本等国都有这类设施。也有的借用船舶模型试验水池进行试验。静水池通常由水池本体、拖车和测试仪器等几个部分组成(见彩图398)。拖网等渔具模型通过传导系统与拖车相连接,拖车以一定速度拖曳模型、测定拖力和观察网形。从事围网类渔具模型试验另有专用水池,装有起放模型网设备、测定沉降速度和绞拉力的设施。

动水池要有一定流速的水流,将渔具模型固定其中。与静水池相比较,占地面积小,投资低,可进行连续观察和测试。20世纪70年代以来,动水池广泛应用于渔具模型试验,通常由池体、水流流速控制系统和测试仪器等部分组成。

动水池按水流系统分重力式和循环式两种。重力式动水池水流由水位差引起,并通过控制系统达到一定速度范围;循环式动水池借助水泵使水循环运行,并可控制流速(见图)。一般试验段长度为3~5米,宽度为2~3米,水深为2米,流速有的可达3米/秒。英国、丹麦、澳大利亚等国都有此类专用水池。中国也借用其他动水池(包括天然水道改造的)进行过渔具模型试验。

循环式动水池示意图

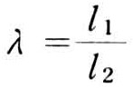
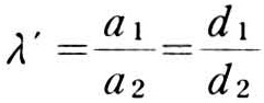
网渔具模型水池试验准则:①实物网与模型网之间主尺度,即网具长度、网口周径等的几何相似模数为:

渔具模型水池试验

网线粗度、网目目脚长度之比为:

渔具模型水池试验

②实物网与模型网之间各边缘的网目数之比应为:

渔具模型水池试验

则模型网各边缘网目数应为:

渔具模型水池试验

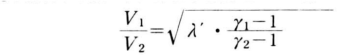
③实物网与模型网之间的速度之比应为:

渔具模型水池试验

式中 γ1和γ2分别是实物网和模型网的网衣单位体积重量,则模型网的速度应为:

渔具模型水池试验

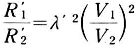
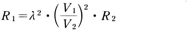
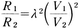
④实物网与模型网之间的阻力之比应为:

渔具模型水池试验

如已知模型网的阻力,则实物网的阻力为:

渔具模型水池试验

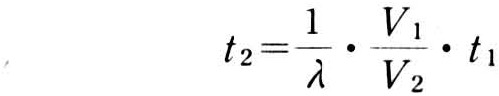
⑤实物网与模型网之间的时间之比应为:

渔具模型水池试验

则模型网的时间为:

渔具模型水池试验

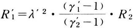
⑥拖网网板的实物和模型之间的升力或阻力之比应为:

渔具模型水池试验

实物网板的升力或阻力为:

渔具模型水池试验

式中分别为实物网板和模型网板的单位体积重量。有关实物网和模型网之间的网线粗度、网线材料、浮力和沉降力等的相似换算,都可按上述有关公式进行推算。

渔具模型水池试验与实物渔具试验相比,投资省,人力、物力消耗低。随着测试仪表和数据处理方法的现代化,这种试验将不断完善并发挥更重要的作用。