登录| 注册    
收藏  点赞 

抽样分布

样本统计量的概率分布。它是样本推断总体的理论基础。按随机抽样方式从总体抽取一定容量的所有可能的样本,样本统计量如平均数,方差S2,t值等等将形成特定的概率分布。农业化学研究中常用的抽样分布有如下几种:样本平均数的分布如果从平均数为μ,方差为σ2的总体X中随机抽取容量为n的样本:x1,x2,…,xn

样本统计量的概率分布。它是样本推断总体的理论基础。按随机抽样方式从总体抽取一定容量的所有可能的样本,样本统计量如平均数,方差S2,t值等等将形成特定的概率分布。农业化学研究中常用的抽样分布有如下几种:

样本平均数的分布

如果从平均数为μ,方差为σ2的总体X中随机抽取容量为n的样本:x1,x2,…,xn,则样本平均数

抽样分布

其分布性质为:①为样本平均数分布的数学期望);②为样本平均数分布的方差);③如果x~N(μ,σ2),则~N(μ,σ2/n);④如果母总体X具有平均数μ,方差σ2,但分布不呈正态或分布形式未知,则随样本容量n的增大,样本平均数的分布渐趋于正态分布。

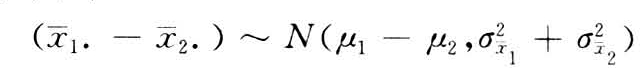
样本平均数差数的分布

如果从平均数为μ1,方差为σ1 2的总体X1中随机抽取容量为n1的所有可能样本,并计算它们的平均数记作.,又从平均数为μ2,方差为σ2 2的总体X2中随机抽取容量为n2的所有可能样本,并计算它们的平均数记作.,则.与.所有可能的比较()将组成两个样本平均数差数的分布,其性质为:①为样本平均数差数分布的数学期望);②或σ1 2/n1+σ2 2/n2为样本平均数差数分布的方差,分别为两样本平均数分布的方差);③若.与.分别服从N(μ1和N(μ2),则样本平均数差数()服从平均数(μ12),方差的正态分布,即

抽样分布

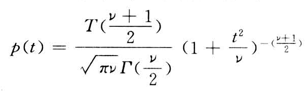
t分布

从平均数为μ但方差未知的总体X中随机抽取容量为n的样本:x1,x2,…,xn,样本平均数,样本标准差,样本标准误,则定义,它服从自由度v=n-1的t分布,其密度函数为:

抽样分布

式中 π为3.14159…,v为自由度。t分布是随自由度v不同而变化的一组曲线,自由度较小时t分布曲线较标准正态分布曲线低矮离散,v愈大愈接近标准正态曲线;v→∞时,t分布逼近标准正态分布(见图)。t分布的平均数为0。曲线以t=0为中心左右对称,t定义域(-∞,∞)。实际上统计量t已被广义化,不一定限于上述定义,任何统计量只要它的密度函数符合p(t)要求都可以看作t分布。

t分布

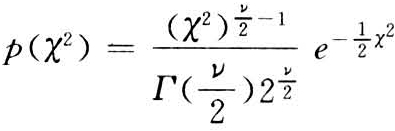
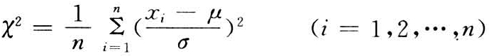
χ2分布

从一个平均数μ和方差σ2已知的正态总体X中随机抽取容量为n的样本,x1,x2,…,xn,则统计量χ2定义为

抽样分布

χ2分布的密度函数为

抽样分布

式中 v为自由度等于n。如果总体平均数μ未知,则用样本平均数代替μ来计算统计量χ2:χ2。此时,χ2服从自由度v=n-1的χ2分布。如图所示,χ2分布是随自由度不同而

异的一组曲线,曲线倾斜,且随自由度减小倾斜度加剧。χ2的定义域为(0,∞)。实际上任一统计量只要其密度函数与p(χ2)相符都是具有χ2分布的统计量。

χ2分布

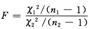
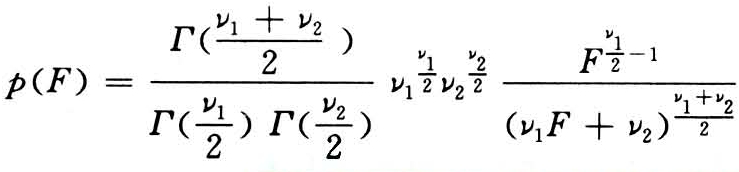
F 分布

设在一个具有方差为σ2的正态总体X中随机独立地抽取容量为n1和n2的两个随机样本,各有平均数,则分别为自由度v1=n1-1和v2=n2-1的χ2统计量,这两个χ2分别除以各自的自由度后的比值定义为F,即

抽样分布

由于所以F=S1 2/S2 2,即F值是具有自由度v1的样本方差S1 2和自由度v2的样本方差S2 2的比值。统计量F分布的密度函数为:

抽样分布

式中 v1和v2分别为F的分子S1 2和分母S2 2的自由度,是p(F)的两个参数。F分布的定义域(0,∞),F分布曲线是随v1和v2不同而异的一组曲线,通常是偏斜的(见图)。■

F 分布