登录| 注册    
收藏  点赞 

多重比较

多个互不独立的样本平均数间的成对比较。对包括k(k≥3)个样本(处理)的试验结果经F检验,否定了H0:μ1=μ2=…=μk,但这并不一定是所有样本平均数间都互不相等,可能其中若干个平均数是相等的。如果k=3,当F检验否定H0:μ1=μ2=μ3,则应接受的备择假设有如下4种可能:①HA:μ1≠μ2≠μ3;②HA:μ1≠μ2=μ3;③HA:μ1=μ2≠μ3;④HA:μ1=μ3≠μ2。

多个互不独立的样本平均数间的成对比较。对包括k(k≥3)个样本(处理)的试验结果经F检验,否定了H0:μ1=μ2=…=μk,但这并不一定是所有样本平均数间都互不相等,可能其中若干个平均数是相等的。如果k=3,当F检验否定H0:μ1=μ2=μ3,则应接受的备择假设有如下4种可能:①HA:μ1≠μ2≠μ3;②HA:μ1≠μ2=μ3;③HA:μ1=μ2≠μ3;④HA:μ1=μ3≠μ2。多重比较可以对k个样本平均数所能组成的k×(k-1)÷2个成对比较作出差异显著性检验。常用方法有如下5种:

最小显著差数测验法

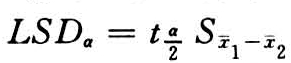
又称LSD法。即确定一个达到显著的最小差数尺度LSDα值,当任何两个样本平均数之差的绝对值>LSDα,即为在α水平上差异显著,反之,差异不显著。LSDα定义为

多重比较

式中方差分析中的误差自由度下t分布的上位数。其中SE 2为误差均方。n为样本容量。LSD测验法实质上是t检验法。由于t检验法是用于检验两个随机样本平均数差异是否显著的方法。严格地说,LSD法只适用于比较一个阵列内相邻的平均数。或比较试验前已确定的彼此独立的处理平均数,例如,不同处理跟对照处理平均数的比较。

Dunnett最小差数法

一种专供测验若干个处理平均数(i=1,2,…,k)与某一对照处理平均数的差异显著性的多重比较方法,又称DLSD。当任一处理平均数之差()的绝对值>DLSDα时,即为在α水平上差异显著,DLSDα定义为

多重比较

式中 Dtα为处理数k(不包括对照)和误差自由度下,两尾概率为α时的Dunnett t值,

Tukey固定极差法

根据处理数k和误差自由度采用一个固定极差显著值FRα,以测验k个处理平均数的所有可能比较的差异显著性,是显著性要求最为严格的一种多重比较方法。在k个处理平均数中,任两个平均数之差()的绝对值>FRα时为显著,否则不显著。FRα定义为

多重比较

式中为平均数标准误,即,q定义为

多重比较

式中分别为k个中的最大值与最小值,qα是处理数为k,误差自由度下q分布的右尾概率等于α时的q值。

多重比较