登录| 注册    
收藏  点赞 

肥料残效示踪研究

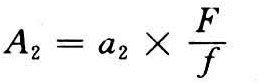
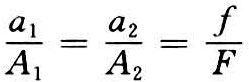
第一年肥料残留氮(A2)和第二年的肥料氮(施肥量F)。植物从上述三个源吸收的氮素分别记为a1,a2和f。根据吸收的氮量正比于各个源存在的有效氮量,有以下关系式: 肥料残效示踪研究 其中a2可从第一年施标记氮肥的试验区测定,f可从第二年施标记肥的试验区内测定,F是已知施肥量,因此残留肥料氮的有效性A2可按下式求得: 肥料残效示踪研究 用短半衰期放射性核素如32P(T1/2=14.

同位素示踪技术测定土壤中残留肥料对植物的有效性。应用15N-标记肥料可直接测定氮肥的残效。为了测定前一年残留或遗留在土壤中与第二年所施肥料等效的肥料氮量,可在第一年的一部分试验区内施15N-标记肥料,而在另一部分试验区内施等量的非标记肥料。第二年,在第一年施15N-标记肥料试验区施非标记肥料,而在第一年施非标记肥区施等量15N-标记肥。在这种情况下,每一试验区内,植物的氮素来源有三,即土壤中有效氮(A1),第一年肥料残留氮(A2)和第二年的肥料氮(施肥量F)。植物从上述三个源吸收的氮素分别记为a1,a2和f。根据吸收的氮量正比于各个源存在的有效氮量,有以下关系式:

肥料残效示踪研究

其中a2可从第一年施标记氮肥的试验区测定,f可从第二年施标记肥的试验区内测定,F是已知施肥量,因此残留肥料氮的有效性A2可按下式求得:

肥料残效示踪研究

用短半衰期放射性核素如32P(T1/2=14.3天)测定肥料残效只能采用简接的方法,即比较前一年施肥土壤与不施肥土壤的A值,将两者之差近似地看作前一年施用磷的残效。