登录| 注册    
收藏  点赞 

肥料混合

根据作物营养需求和土壤养分供应状况,按一定的数量、比例和工艺技术规范,将两种以上化学肥料组合为混合肥料的物理方法。其优点是:①工艺简单,施用方便,节省设备和施肥劳力,降低成本,易为农户接受;②合理混合后施用,不但可使有效成分含量高或用量少的肥料施用均匀,同时还可满足作物对几种养分的需要,发挥养分的交互效应

根据作物营养需求和土壤养分供应状况,按一定的数量、比例和工艺技术规范,将两种以上化学肥料组合为混合肥料的物理方法。其优点是:①工艺简单,施用方便,节省设备和施肥劳力,降低成本,易为农户接受;②合理混合后施用,不但可使有效成分含量高或用量少的肥料施用均匀,同时还可满足作物对几种养分的需要,发挥养分的交互效应;③消除或减轻混合前肥料的某些不良的理化性质(如吸湿、结块性强、游离酸含量高等);④可根据土壤和作物种类及其生育期对养分种类、总量、比例和施用方法等方面的差异,随时进行调整,施用具有更大的灵活性和针对性。

混合原则

肥料混合施用是科学用肥,提高施肥效果的重要措施之一。但并非所有肥料都可以任意混合。在考虑几种肥料混合时,应遵守下列原则:①混合后不会产生不良的物理性状;②肥料养分不受损失;③有利于提高肥效、工效和降低投肥成本。

混合忌适

混合忌适情况,一般可分为:

可以混合

两种或两种以上的肥料混合后,不但养分没有损失,而且还能减少各种单元肥料对作物生长的不良影响。有以下几种类型的肥料可以混合:①硫酸铵过磷酸钙。两种肥料混合堆置可发生Ca(H2PO42·H2O+(NH42SO4→2NH4H2PO4+CaSO4+H2O的化学反应。这种混合肥料施入土壤后,由于作物同时吸收和H2PO4 -,可减轻单施硫酸铵产生的生理酸性反应。但两者混合后,堆积时间一般以两星期为度。堆放时间过长,则会因过磷酸钙中游离酸吸湿而使混合物硬化,进一步生成难溶于水的硫酸钙硫酸铵复盐[CaSO4·(NH42SO4·H2O]。在过磷酸钙中混合少量骨粉、磷矿粉草木灰或少量石灰,中和其中过量的游离酸,然后与硫酸铵混合,可以避免上述不良反应;②磷矿粉硫酸铵两种肥料混合施用,既可消除硫酸铵等酸性或生理酸性肥料的不良影响,还可以通过其酸性,增加磷矿粉的溶解度,提高后者的肥效;③硝酸铵氯化钾混合后能逐渐反应生成硝酸钾氯化铵。这两种产物的临界湿度均大于硝酸铵,其潮解性较硝酸铵小,故混合后物理性质得到改善,便于利用;④尿素与磷酸一钙混合生成磷酸尿素、磷酸二钙和水,从而减少氮素损失;但两者须在温度20℃、空气相对湿度80%以下才宜混合,否则吸湿后易呈糊状;⑤有些有机肥料和化学或矿质肥料混合施用,两者的肥效都可提高,既可利用有机肥分解时产生的有机酸,提高磷的溶解度,又可减少磷肥与土壤的接触面和磷的固定。在鱼肥、泥炭等有机肥中混合适量的草木灰、石灰氮等碱性肥料,前者可利用后者成分中的碱性物质,分别皂化鱼肥中的脂肪、中和泥炭的酸性,而后者可利用此类有机肥的有机酸加快转化速度,两者肥效均得到提高。人粪尿混合少量过磷酸钙可形成磷酸二氢铵,减少铵的挥发损失。

可以暂时混合但不可久置

有些肥料只宜混合后立即施用,若放置时间过长,则或有效养分降低,或物理性状变差。如①含游离酸较多的过磷酸钙硝态氮肥,混合后久置不仅吸湿潮解,且会使硝态氮(NO3 --N)渐次分解而造成氮素损失:2NaNO3+Ca(H2PO42·H2O→CaNa2(HPO42+N2O5↑+2H2O,在过磷酸钙中添用少量骨粉或磷矿粉草木灰、石灰中和游离酸,则可延缓上述过程;②尿素或石灰氮与氯化钾混合,应随混随用。否则吸湿性增强。

不可混合

混合后降低肥效。如:①铵态氮肥(包括含铵态氮的复合肥料)不能与石灰、钢渣磷肥、石灰氮或草木灰等碱性肥料大量混合,否则会加速氨(NH3)的挥发;②各种磷肥与碱性肥料也不可大量混合。因混合后会使水溶性磷变成难溶性磷酸盐;使弱酸溶性磷肥和难溶性磷肥中的磷更难溶解;③有些有机肥料与化学肥料混合后,肥效也会降低。如含硝酸盐的肥料与未腐熟的堆肥、厩肥或新鲜秸秆混合堆置,会因产生反硝化作用而造成氮素损失。腐熟的堆、厩肥和人粪尿中的氮多呈铵态氮()形态,与碱性矿质肥料大量混合后,会加速氨的挥发。

混合技术

混合技术包括单元肥料用量计算和混合方法。

原料用量计算

在配制混合肥料之前,必须根据需肥作物的种类、施用时间和方法、土壤供肥状况等,确定混合肥料的类型(养分种类、比例和总量),先分别计算出各种配料,然后进行混合。配制混合肥料所需要的单元肥料数量,可根据肥料分析式或配合式,三要素比例式来计算。肥料配合式指混合肥料的配方,表明一吨混合肥料中所含的各种原料的数量、品质和名称。肥料分析式用于表达一吨混合肥料所含的各种主要养分含量的百分率。如肥料分析式为8-7-6,表示其养分含量分别为N8%、P2O57%、K2O6%,即配制一吨这种肥料需要N80千克、P2O570千克、K2O60千克。其需要相应的单元肥料的数量的计算通式为:

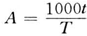
肥料混合

式中 A为配制一吨混合肥料所需某种单元肥料的千克数;t为配制混合肥料中某种养分的百分含量;T为所用单元肥料中某养分的百分含量。

按此公式计算,配制一吨8-7-6的混合肥料,所需硫酸铵(N=20%)400千克,过磷酸钙(P2O5=14%)500千克,氯化钾(K2O=60%)100千克。如果几种单元肥料的需用量合计不足1吨,所缺部分应以不影响混合效果的填充料补足。三要素比例式是将肥料分析式简化为10以内的简式,如3-9-3和4-12-4两种混合肥料,其肥料分析式虽不同,但三要素比例均为1-3-1。这种表达方式可将多种肥料分析式归并在少数比例范围以内,便于使用单位根据需要采用或配制。

混合方法

主要有两种。一种是机械混合,其规模大,自动化程度高,混合后成分均一;另一种是人工混合,一次混合的肥料数量少,混合后肥料成分的均匀度较差。为了提高人工混合肥料的均匀度,混合之前,必须将大块肥料打碎过筛,易潮湿者先筛。然后按需用量分别过秤,准备混合。其顺序一般先将含磷的单元肥料撒在平整、结实的地面上,达到厚薄均一;接着撒上体积较小的,一般为氮肥;最后撒体积最小的钾肥或填充物等。撒时力求均匀,拌匀后再堆成一堆,如此反复多次,直至整堆肥料色泽均一。混合完毕后应再次过筛。如用机械混合方法,则先将肥料粉碎,然后按比例将各单元肥料送入混合器,造粒后包装备用。