登录| 注册    
收藏  点赞 

分析数据处理

直线的斜率和截距,其计算公式如下: 分析数据处理 式中 n为测定次数;x为物质的含量或浓度;y为测量参数。以回归法求得的直线方程能最合理地代表工作曲线。分析数据的检验与表达经过整理后得到的分析数据,还需要进行一定的统计处理和检验,以合理地表达分析结果及其误差。误差主要来自于过失误差、系统误差和偶然误差3个方面。存在过失误差的数据应予以弃除,系统误差可根据其原因加以消除和修正。

对农业化学分析的测定数据进行科学的整理、检验和表达的过程。由于测定方法、仪器性能、试剂纯度、环境条件和技术水平等因素的影响,分析数据必然会存在一定的误差。为了判断分析数据的可靠性,并合理地表达分析结果及其误差,需要借助统计学对分析数据进行必要的处理。

分析数据的整理

由实验得到的分析数据,首先需要进行适当的整理。包括舍弃异常数据,去除数据中的非有效数字,绘制工作曲线和经过一定的运算等,才能得到合理的分析结果。

有效数字及运算规则

在测量中所能得到的、有实际意义的数字称为有效数字。为了准确地反映测量的精确程度,在记录数据时应注意保留适当的有效数字位数。由各个操作环节得到的测量值其有效数字的位数通常是不相等的。运算时需要按照一定的法则:①记录测量值时,只保留一位可疑数字。②当有效数字位数确定后,多余的数字应一律弃去。舍弃的方法为“四舍六入五留双”(留双的意思为:当尾数是5时,如进位后得偶数则进位,否则弃去)。③几个数相加减时,各数及其和、差的有效数字位数以各数中小数点后位数最少者为标准。④几个数相乘除时,以各数中有效数字最少者为标准。⑤在对数计算中,所取对数位数与真数有效数字位数相同。

异常数据的舍弃

在一组测定数据中,如有个别数据偏离平均值较远,该数据便被怀疑为异常数据。这时,应客观地分析异常数据产生的具体原因决定其取舍,而不应凭分析人员主观臆断随心取舍。如无明确的原因,则可根据统计方法来决定取舍。常用的舍弃方法有4d法、2.5d法和Q检验法等。

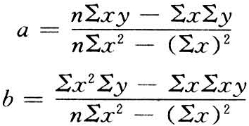
工作曲线的绘制与直线回归方程的计算

在采用光度法、电位法、原子吸收法等分析时,常需通过工作曲线求算未知样品中某成分的浓度。工作曲线指标准溶液系列的浓度与测量值之间的关系曲线(一般为直线),通常以横坐标表示物质含量或浓度,以纵坐标表示测量参数绘制而成。但往往工作曲线的点阵并不完全在一直线上,这时可用回归法求出直线方程y=ax+b,其中a和b分别为直线的斜率和截距,其计算公式如下:

分析数据处理

式中 n为测定次数;x为物质的含量或浓度;y为测量参数。以回归法求得的直线方程能最合理地代表工作曲线。

分析数据的检验与表达

经过整理后得到的分析数据,还需要进行一定的统计处理和检验,以合理地表达分析结果及其误差。误差主要来自于过失误差、系统误差和偶然误差3个方面。存在过失误差的数据应予以弃除,系统误差可根据其原因加以消除和修正。在剔除过失误差和基本消除系统误差的前提下,误差主要由偶然误差决定,而偶然误差服从一定的概率分布,可用统计方法进行处理。以下是常用的一些统计和检验的指标。

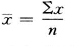
平均值

体现数据集中趋势的指标。常以多次测定的平均值表示分析结果。平均值的计算公式如下:

分析数据处理

式中为平均值;Σx为各次测定值之和,n为测定次数。

允许误差

衡量分析结果是否符合要求的一种指标,是总结实际分析情况后订立的,因测定项目和含量而异。在实际分析中,如果两次平行测定结果的相差超过允许误差,即称为超差,该项分析就应重做。

标准偏差和变异系数

为了考查平行测定数据的波动性,验证方法的精密度,常用标准偏差或相对标准偏差(即变异系数)进行衡量,计算公式为:

分析数据处理

式中 S为标准偏差;x为单次测定值;为平均值;n为测定次数。

分析数据处理

式中 CV为变异系数;S为标准偏差;为平均值。

标准偏差或变异系数越小,表示数据波动性越小,精密度越高。

可靠性区间

由于在实际分析中,测定次数总是有限的,得到的平均值只能是真实结果的估计值,实际的真实结果是难以求得的。但可以在一定的概率保证下估计真实结果的范围或区间,这个区间即称为可靠性区间或置信区间。计算公式如下:

分析数据处理

式中为平均值;tα为一定概率保证下的t值,可由t值表中查得;S为标准偏差;n为测定次数。

例:分析某作物样品中硼的含量,进行5次平行测定,求得平均值为1.13毫克/千克,标准偏差为0.022,以95%的概率保证,在t值表中查得t为2.78。由上式计算得:可靠性区间=1.13士0.027,则表明有95%的把握认为该样品中硼的真实含量应落在1.103~1.157毫克/千克区间内。

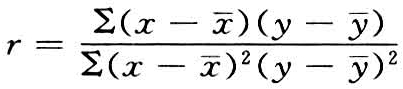
相关系数

用来检验两组变量之间的相关性的密切程度的指标。例如可用来表示工作曲线线性的优劣。直线相关的相关系数通常用r表示,其计算公式如下:

分析数据处理

r的绝对值越接近于1,两变量间的线性相关关系越显著。至于丨r丨大到什么程度时才能断定x与y存在线性相关关系,可通过有关检验表进行相关系数的显著性检验来确定。