登录| 注册    
收藏  点赞 

活化分析

α粒子、γ光子等照射(轰击)靶核(待分析样本)时,可引起核反应。反应过程为:入射粒子+靶核→复合核→剩余核+发射粒子。其剩余核是一个新核,可以是稳定性同位素,也可以是放射性同位素。当用一定能量的特定粒子照射样本时

利用中子激活并通过放射性探测对元素进行定性定量分析的一种方法。它是把非放射性样本经中子照射,使样本的原子核发生核反应而活化,成为放射性样本;每一种放射性元素都有特征能量和射线;然后通过对放射性的定性、定量测量,确定样本中的元素种类和数量。这是20世纪30年代开始发展起来的一种高灵敏度的元素分析技术,是土壤肥料、动植物样本的元素分析和土壤中离子吸收、移动研究中的重要手段。

原理

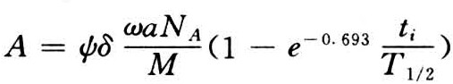
一定能量的中子、质子、α粒子、γ光子等照射(轰击)靶核(待分析样本)时,可引起核反应。反应过程为:入射粒子+靶核→复合核→剩余核+发射粒子。其剩余核是一个新核,可以是稳定性同位素,也可以是放射性同位素。当用一定能量的特定粒子照射样本时,使待分析元素中某一稳定性同位素经核反应产生放射性同位素。这种放射性同位素的放射性活度与待测元素的量成正比。可按下式计算:

活化分析

式中 A为放射性同位素的活度;ω为待分析元素的重量;NA为阿佛加德罗常数;φ为照射粒子的通量;δ为稳定性同位素的核反应截面积;a为稳定性同位素的丰度;M为待分析元素的原子量;ti为照射时间;T1/2为放射性同位素的半衰期。用能谱仪测定射线的能量和种类并对被分析元素定性。如果用含有已知量的稳定性元素的标准源作б较则定性、定量分析就更方便。

设备

由中子源、样本输送装置和测量仪器组成。中子源有反应堆、加速器、中子发生器和同位素中子源等。样本输送装置包括压缩空气动力源,样本输送管道,定位、定时装置,处理样本,开盒、取样等装置。测量仪器有闪烁探测器NaI(Ti)或半导体探测器Ge(Li)的多道γ能谱仪。现代多道γ能谱仪与计算机联机,实现自动活化分析

特点

灵敏度高,可分析灵敏度达10-6~10-13克;能分析的元素多,几乎是周期表中所有元素;一次分析能测定元素可达几种到几十种;实现非破坏性分析;可消除分析过程中试剂的污染;可鉴定一种元素的不同同位素;做到快速、自动分析。在活化示踪中应用活化分析技术,用可活化的稳定性元素进行示踪,在试验过程中不会遭到放射性危害。但不能分析化合物的结构;放射性衰变有统计误差。所需设备复杂、昂贵,限制了普及应用。