登录| 注册    
收藏  点赞 

计数统计

结果的平均值n上下涨落。这种涨落是服从一定的统计规律。当平均值不大时,呈泊松分布。当n>10时,呈高斯分布。若要知道放射性活度的真值,需无限次的测量平均值。事实上无限次测量的平均值是无法实现的。通常只能用有限次的测量平均值或一次测量的平均值来代替。这个平均值与真值之间总有一定偏差,即所谓计数统计误差,其大小表示测量值接近真值的程度。通常用标准误差(标准误)表示。

对放射性测量数据进行统计学分析并控制其误差方法。放射性核素的衰变是自发的,每个核的衰变是完全独立、互不关联的随机事件。因此单位时间内发生衰变的原子数,并不一定和理论上预期值相一致,而是与理论有一个统计涨落。因此放射性测量的数据必须作统计学处理。

测量误差

测量时间为t,放射性核素的半衰期为T,若t<<T时,在相同间隔时间内重复多次测量,即使条件相同,每次测得的放射性活度并不严格保持一致,而是围绕各次结果的平均值n上下涨落。这种涨落是服从一定的统计规律。当平均值不大时,呈泊松分布。当n>10时,呈高斯分布。若要知道放射性活度的真值,需无限次的测量平均值。事实上无限次测量的平均值是无法实现的。通常只能用有限次的测量平均值或一次测量的平均值来代替。这个平均值与真值之间总有一定偏差,即所谓计数统计误差,其大小表示测量值接近真值的程度。通常用标准误差(标准误)表示。

标准误差

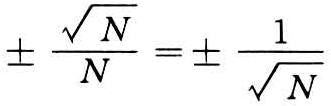
表示样本的平均数与真值之间可能相差范围和衡量样本的平均数离散程度。如只作一次测量,时间为t,总计数N,则总计数N的标准误差为。测量总计数的结果为。其含义在相同条件下重复测量时,其计数值有68.3%的几率落在的范围内。只有31.7%的几率落在范围之外。标准误差也可用百分数表示。则称为相对误差即:

计数统计

测量结果一般用计数率表示。即n=N/t。所以计数率的标准误差为:

计数统计

若作X次测量,每次测一个单位时间,其标准误差可按下式计算。

计数统计

式中 ni为各次实测值;为标准误差。从上述二式可见,一次测量时间越长或测量次数越多,则标准误差越小。测量放射性样品的计数值也包含本底计数值。本底计数值也服从统计规律。因此标准误差也是这二个计数值的标准误差之和。式中 ni为各次实测值;为标准误差。从上述二式可见,一次测量时间越长或测量次数越多,则标准误差越小。测量放射性样品的计数值也包含本底计数值。本底计数值也服从统计规律。因此标准误差也是这二个计数值的标准误差之和。

为均数;x为测量次数;SE式中 nT为样品计数率n,和本底计数率nb之和;tT为测量的总时间;tb为测量本底时间。其相对标准误差为:

计数统计

计数统计

式中 nT-nb为样品的计数率。从式中可见,本底计数率越大,对测量误差影响越大。测量时间(tT和tb)延长,可减少测量误差。

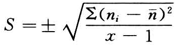
标准偏差

用方差的平方根来表示数据的变异程度。样品标准偏差如下式所示:

计数统计

标准偏差大小说明被测样品或各次测量数据分布情况。当标准偏差小说明被测样品的数据集中于平均数的两侧。其平均数的代表性强,否则反之。用这种方法可及时发现不正常的数据。它与标准误差之间关系如下:

计数统计

误差控制

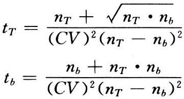
测量总时间一定时(tT=tS+tb),对样品和本底的计数时间最佳分配时,其误差达到最小;或给定的相对标准误差,使样品的计数和本底的计数在最短时间内达到给定相对误差。对于样品和本底的计数时间的最佳分配可从下式得出:

计数统计

实验时可先粗测一下样品和本底的总计数nT和本底计数nb。按上式求出其比值,再作精密测量。对于给定相对标准误差时,决定测量总时间和本底测量时间,可按下列二式求出:

计数统计