登录| 注册    
收藏  点赞 

土壤有效养分示踪研究

根据同位素稀释原理测定土壤中对植物有效养分的含量。依同位素平衡系统不同,测定的有效养分可分为E-值、L-值和A-值,以典型的同位素稀释公式计算: 土壤有效养分示踪研究 式中 X为加入系统中示踪剂的量;Si和Sf分别为平衡前后同位素的б活度或富集度。E-值(见土壤可交换离子的同位素测定法)L-值1951年S.拉森(Larsen),1953年O.岗纳森(Gunnarsson)和L.

根据同位素稀释原理测定土壤中对植物有效养分的含量。依同位素平衡系统不同,测定的有效养分可分为E-值、L-值和A-值,以典型的同位素稀释公式计算:

土壤有效养分示踪研究

式中 X为加入系统中示踪剂的量;Si和Sf分别为平衡前后同位素的б活度或富集度。

E-值

L-值

1951年S.拉森(Larsen),1953年O.岗纳森(Gunnarsson)和L.弗雷德里克森(Fredriksson)将标记磷和土壤充分混合,然后让植物生长在含有标记磷的盆钵中,经过一个季节或一个较长时期以后,收获植株,分析植物体内32P比活度,利用同位素稀释公式计算土壤中有效磷的量,这样的值称为L-值。为了达到同位素平衡,测定L-值,要求将标记磷肥与土壤充分混合。采用无栽体,则更容易达到平衡。如果平衡没有达到,则得到的L-值不是真正的值。不像Et值用土壤溶液来测定土壤中可进行同位素交换的磷,L-值是土壤中能与加到其中的标记磷进行同位素稀释的这部分磷,是通过在平衡的土壤中生长植物来测定的。同样的概念也适用于其他有效养分,而其他有效养分如氮、钾、硫、钙等在土壤中易流动,所以这些养分的L-值和下面的A-值没有区别。

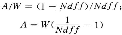
A-值

1952年M.弗里德(Fried)和A.L.迪安(Dean)以一个能提供作物有效养分的标准来测定土壤有效养分的量。他们假定,当土壤中存在两个养分源的情况下,植物从每个源吸收的养分量与各自存在的对植物有效养分量成正比。其中一个源是已知的,就是加入的肥料标准,另一个源就是我们要测定的土壤有效养分源。那么只要测定植物吸收来自这两个源的养分比例,就可以计算土壤有效养分。这可以将肥料用同位素标记来达到。当已知量的标记肥料施入土壤以后,植物将同时吸收标记肥料的养分和土壤中的自然养分。由上述假定得:

土壤有效养分示踪研究

式中 N dff为植物来自肥料的养分б。由此法测得的土壤中对植物有效养分量,称之为A-值,以施肥单位表示,如千克/公顷等。以Sp/Sf取代Ndff,则计算式变为标准的同位素稀释公式:

土壤有效养分示踪研究

式中 Sf,Sp分别为示踪肥料和植物样品的б活度(或富集度)。因为A-值是以一个标准来б较的,如果这个标准变化,A-值也会变化。所以在不同试验条件下得到的A-值不是恒定的,它随施肥量、施肥方式和作物种类而变化。如同样磷肥施用量,在条施情况下植物吸收的磷较多,因而得到的A-值б同样情况下的混施要低。