登录| 注册    
收藏  点赞 

推荐施肥

在常用电渗析法基础上发展出一种新的电超滤法。至80年代,经过大量研究改进,可在较短时间内获得土壤有效养分的强度、容量、缓冲能力和释放速率的信息,已为国际土壤肥力研究所采用。以土壤测试为基础的推荐施肥已成为一项常规的农业技术措施。

根据作物需肥特性、土壤供肥性能和肥料效应,综合运用现代农业科技成果,提出施肥建议的技术。它是现代农化服务体系中的一个重要组成部分。

历史发展

19世纪初期,化学分析方法已被用来测定土壤养分含量。1840年德国化学家J.von.李比希采用化学方法分析土壤中的养分含量,并提出用施肥的方法归还作物从土壤中带走的养分,以维持土壤肥力。但早期的土壤分析主要以全量分析为主。此后,许多科学家模拟植物根系分泌物,提出不同的提取剂,以测定土壤有效养分。当时主要以酸性提取剂为主。至20世纪40年代,土壤测试技术已广泛用于施肥实践中。随着土壤化学研究和生物试验法的发展,美国土壤学家R.B.布瑞(Bray)提出了土壤测试的相关研究和校验研究,并建议采用相对产量表示土壤供肥能力,从而奠定了土壤测试的科学基础。据1951年调查,美国48个州建立了土壤测试实验室,采用28种提取剂测定土壤有效磷,19种提取剂测定土壤有效钾,随着土壤测试科学研究的深入发展,测试方法逐渐统一,至1973年,美国土壤有效磷的提取方法主要有三种:即H2SO4-HCl法(Mehlich法)、NH4F-HCl法(Bray法)和NaHCO3法(Olsen法)。土壤有效钾的提取方法主要有三种,即中性NH4OAc法、H2SO4-HCl法及NaOAc法(Morgan法)。上述方法分别适合于不同类型的土壤,1972年德国土壤学家芮梅特(Nemeth)在常用电渗析法基础上发展出一种新的电超滤法。至80年代,经过大量研究改进,可在较短时间内获得土壤有效养分的强度、容量、缓冲能力和释放速率的信息,已为国际土壤肥力研究所采用。以土壤测试为基础的推荐施肥已成为一项常规的农业技术措施。与此相比,以植物营养诊断为基础的推荐施肥技术的进展却要慢得多,长期以来,由于测试手段落后,加之植株营养元素含量与产量之间的相关性研究较少,植物营养诊断是以形态诊断和植物组织速测为主,很难得出定量的施肥建议,而偏重于缺素诊断。20世纪40年代相继出版了缺素症状的专著,随着化学分析技术的发展,植物全量分析技术迅速应用于植物营养诊断。至60年代,世界发达国家相继提出了主要营养元素的诊断指标,特别是叶分析技术已经成熟,广泛用于果树营养诊断,以指导施肥。1973年美国皮弗尔(Beeafils)以养分平衡为依据,提出诊断施肥综合法,使植物营养诊断由单一元素诊断发展为综合诊断。随着植物生理学、生物化学的发展,酶学诊断也开始用于植物营养诊断。各国在应用土壤测试、营养诊断技术开展推荐施肥的同时,都进行了大量的田间生物试验。其中包括长期定位试验,获得了丰富的有关影响肥料效应的诸因素的信息资料,在提出施肥建议时考虑诸综合因素的影响,提高了推荐施肥的准确性。近年来,由于电子计算机在农业上的广泛应用,作物施肥的专家系统和以作物生长、土壤养分动态为基础的作物需肥模型已开始用以指导施肥。

技术内容

主要包括土壤测试、植物营养诊断和田间试验技术。

土壤测试

以土壤测试为基础的推荐施肥技术包括四部分:①田间采集土壤样品;②提取及分析测定土壤速效养分;③对分析结果作出解释说明;④提出施肥建议。

土壤测试的相关研究和校验研究

是土壤测试的基础研究工作。相关研究的目的是筛选测试方法,用若干个参比标准来考核某种提取测定方法的结果是否可用于某类型土壤上,只有当该测试方法所测定的土壤有效养分量与作为参比标准的农作物养分吸收量之间存在着严格的统计学上的相关性时,才能确定该测定方法可适用于某类型土壤。在相关研究中常用的参比标准是相对产量或相对吸收量。这类研究多是在温室或网室中以盆栽试验的方法进行。此外,也可采用同位素A值法。

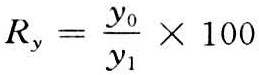
推荐施肥

式中 Ry为相对产量(%);y1、y0分别为全肥区与不施该养分区的产量(kg/hm2)。

推荐施肥

式中 RU为相对吸收量(%);U1、U0分别为全肥区与不施该养分区的养分吸收量(千克/公顷)。

相关研究的主要步骤是:①选择若干种可能应用的提取测定方法进行土壤测定。②确立参比标准。取被测土壤进行盆栽试验。③对参比标准值和提取测定值进行统计学上的相关分析。④选择相关性最好的提取测定方法。

校验研究是以作物产量反应为依据,将提取测定值划分为“高”、“中”、“低”等指标等级,为施肥建议提供依据。进行校验研究必须做田间试验,试验点数应在20个以上,各试验点的土壤养分含量应有足够的差异,以便于覆盖不同土壤肥力状况,有利于进行相关分析。试验处理一般设不施和施足该养分的处理(其他养分应足够),根据所得产量结果计算相对产量。以相对产量作为纵坐标,以某养分的提取测定值作为横坐标,绘制曲线图,然后根据相对产量的高低将土壤有效养分的提取测定值划分为“高”、“中”、“低”等级。目前国际上公认的划分标准是:相对产量>95%时为“高”,75%~95%为“中”,50%~75%为“低”,<50%为“极低”。由于土壤有效养分的高低是以作物的相对产量为依据,因而校验研究结果是针对具体土壤和作物而言。当不同作物对土壤养分的需要量不同时,土壤有效养分测定值的划分也应有所区别,因而校验研究应重新进行。

土壤测试的施肥建议

准确的土壤测试结果为施肥建议提供了科学依据。由于肥料效应受土壤、气候、作物类型和栽培管理技术等综合因素的影响,因而依据土壤测试结果提出施肥建议时,必须综合考虑上述诸因素。常用的方法有丰缺指标法和目标产量法。

丰缺指标法是根据校验研究所确定的“高”、“中”、“低”等指标等级确定相应地施肥建议。只要获得土壤测试值,就可确定施肥量,方法简便易行。缺点是半定量性质。许多国家主要用于磷、钾肥和微量元素肥料的建议。近年来,荷兰、新西兰、丹麦、德国等国家根据60~100厘米土层内矿质态氮(硝态氮和铵态氮)的含量确定作物施氮量,取得良好的结果。在依据土壤测试值提出施肥建议时,还应考虑土壤性质、土壤水分状况、有机肥料的施用等作出适当调整。

目标产量法是1960年美国土壤化学家E.曲鲁格(Turog)提出的,根据一定的产量要求计算肥料需用量。

推荐施肥

式中 W为肥料需要量(kg/hm2);U为一季作物的养分总吸收量(kg/hm2),U=产量×每千克产量的养分需要量;Ns为土壤供肥量(kg/hm2);C为肥料养分含量(%);R为肥料当季利用率(%)。

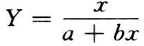
目标产量是推荐施肥的预期产量,既应符合当地土壤、气候、栽培管理水平等条件,又应有一定的先进性,达到可能的最高产量水平。目标产量的高低受土壤肥力的制约,而土壤的基础产量反映土壤肥力水平。因此,目标产量与基础产量之间存在着一定的数量关系。表示这种数量关系的函数式一般为:

推荐施肥

式中 Y为目标产量;x为基础产量。

根据上式可由基础产量确定目标产量。基础产量可通过田间设不施肥小区来获得,或根据当地前三年作物平均产量加上一定的增产率求得。作物养分吸收量是指构成一定经济产量所需的养分量。它随作物品种、产量水平、栽培技术和土壤、气候条件等因素而变化,在一定的品种和栽培条件下,作物养分吸收量的变幅不大,可参考已有资料确定。土壤供肥量可视作不施某养分小区的作物对该养分的吸收量。它与土壤有效养分含量之间存在着一定的函数关系,可依此函数算出土壤供肥量。肥料当季利用率依作物种类、肥料品种、土壤类型、气候条件、栽培管理和施肥技术等因素而变化,应根据当地试验数据确定。

植株营养诊断

植物的生长和产量形成与体内营养元素含量之间存在着一定的有规律的数量关系,并受土壤、气候等因素综合作用的影响。因此,通过营养诊断及时查明不正常的营养状况,采取有效的矫正措施,可以保证植物的正常生长,达到高产的目的。营养诊断的方法很多,形态诊断和化学诊断是最基本的方法。此外还有生物学诊断如酶学诊断和物理化学诊断等。

田间试验

是研究土壤供肥能力和肥料效应的基本方法。用于推荐施肥的田间试验主要是施肥量试验。施肥量的水平数目应能概括整个肥料效应的变化范围,以探讨施肥与产量间的数量关系,从而确定不同条件下的经济合理施肥量。在获得大量的田间试验结果后,应进行合理的分类整理,选择适合的肥料效应函数模式,确切地反映该条件下施肥量与产量间的数量关系。尔后可依此函数准确地计算经济最佳施肥量、最高产量施肥量和最优利润施肥量等(见肥料的产量效应)。