登录| 注册    
收藏  点赞 

相关分析

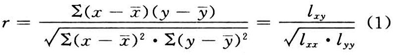
度量各因素间互相影响的密切程度的统计方法。相关分析不将因素区分为自变量与依变量,只用特定的统计数表示因素的相关程度。相关分析在农业化学研究中应用十分广泛。相关系数又称简单相关系数,是度量两个因素密切程度的统计数,符号为r。 相关分析 式(1)分子部分称为协方差,分母根号内分别为因素x、y的平方和,相应的协方差与平方和简作lxy、lxx、lyy。相关系数是无单位的纯数。

度量各因素间互相影响的密切程度的统计方法。相关分析不将因素区分为自变量与依变量,只用特定的统计数表示因素的相关程度。相关分析在农业化学研究中应用十分广泛。

相关系数

又称简单相关系数,是度量两个因素密切程度的统计数,符号为r。

相关分析

式(1)分子部分称为协方差,分母根号内分别为因素x、y的平方和,相应的协方差与平方和简作lxy、lxx、lyy。相关系数是无单位的纯数。取值范围自-1至1。当相关系数为正值、负值及零时分别称为正相关、负相关及无相关。

相关系数的显著性检验

样本相关系数r为从总体相关系数为ρ的总体中抽取的随机样本。若ρ=0,r将出现在0周围呈对称分布。显著性检验可取无效假设H0∶ρ=0,相应的备择假设为HA∶ρ≠0,作自由度为N-2的检验。已将信度α=0.05及α=0.01的显著水平下的临界rα值列成表格备查。如r≥rα,则在α显著水平下接受HA∶ρ≠0,否则接受H0∶ρ=0。

当ρ≠0且样本容量N较小时,r的分布不对称。为了使r分布接近于正态分布,取反正切双曲函数变换,并称之为Z。

相关分析

不论总体相关系数ρ为何值,Z的分布都近似于正态分布。将r转换为Z用于检验r与ρ差异的显著性;检验两个相关系数的显著性,求几个相关系数的平均值。

决定系数

相关系数r的平方值r2。可表示为:

相关分析

式(3)中 分子Σ(-2及Σ(y-2,分母Σ(y-2分别为线性回归中的回归平方和、剩余平方和与总平方和。决定系数就是回归平方和占总平方和的比例。当相关系数r=0.6时,因素x对因素y的影响不是60%,而是其平方值36%。用决定系数r2来解释两因素的相关程度意义清楚、不致发生夸张结论,而且r2的计算比r简单。但r2的取值区间为[0,1],无正负号区别,不能表达出相关的性质,故r与r2常结合应用。

复相关与偏相关

多元回归分析中因素x的数目为i、j=1,2,3,…,户;(i<j),另一因素为y。户个x因素共同对y因素间的相关系数称为复相关系数或多元相关系数。复相关系数以Ry·12…p表示,由式(3)拓广得:

相关分析

式(4)表明复相关系数的取值区间为(0、1)。

对复相关系数的统计假设测验为H0∶ρy·12…p=0,相应的备择假设为HA∶ρy.12…p≠0,可用F测验其显著性,已将相应自由度f1、f2的信度为α=0.05及α=0.01,临界Rα值列成表备查。若R≥Rα则在显著水平为α下接受HA,否则接受H0

当户-1个因素取固定不变状态时,剩余的一个x因素与y因素的相关系数称为偏相关系数或净相关系数。偏相关系数通常以r12·34…p、p+1表示,下标黑点后的数字代表固定不变的因素,黑点前的数字代表相关的因素。当因素数较多时常简记作rij,(i,j=1,2,…,户,p+l;i<j),偏相关系数定义为:

相关分析

式(5)中 C为户+1阶相关系数矩阵的逆矩阵R-1=C的元素。偏相关系数的显著性检验用t测验,假设总体偏相关系数ρij为零,即H 0∶ρij=0,其备择假设为H A∶ρij≠0,并计算出显著水平为α的临界rα值作б较,rij≥rα接受HA,否则接受H0

相关系数r与偏相关系数rij不仅取值不等,有时正负号也可能不一样。相关系数r未排除其他因素的干扰,例如土壤中养分转化量在适当范围内受温度、水分条件增加而加速,但降雨或灌溉常伴随着温度下降。由于温度与水分间存在相关性,因而温度对转化量及水分对转化量的相关产生干扰。偏相关系数则是固定温度不变的条件下研究水分对转化量的相关系数,或固定水分不变的条件下研究温度对转化量的相关关系。偏相关系数能更客观地评价因素间的相关关系。