登录| 注册    
收藏  点赞 

养分吸收

植物从环境中摄取养分的过程。养分吸收以可逆电化学梯度进行,亦可沿电化学梯度进行。前者需要消耗代谢能,称为主动吸收;后者只是间接与代谢过程相联系,吸收过程不需供应代谢能,称为被动吸收。根是植物吸收养分的主要器官,但地上部亦可吸收。根外追肥就是通过枝、叶吸收的。植物吸收养分的形态在一般情况下,植物常吸收无机离子(表1),但也可吸收简单的有机养分

植物从环境中摄取养分的过程。养分吸收以可逆电化学梯度进行,亦可沿电化学梯度进行。前者需要消耗代谢能,称为主动吸收;后者只是间接与代谢过程相联系,吸收过程不需供应代谢能,称为被动吸收。根是植物吸收养分的主要器官,但地上部亦可吸收。根外追肥就是通过枝、叶吸收的。

植物吸收养分的形态

在一般情况下,植物常吸收无机离子(表1),但也可吸收简单的有机养分,例如氨基酸。也可吸收分子态养分。

表1 植物吸收养分的主要形态及土壤溶液中的一般形态

植物吸收养分的特点

植物吸收养分不是简单的物理过程,其特点为:①对各种养分的吸收有选择性。其吸收速度与吸收量皆不相同;②可逆电化学势梯度吸收养分。在土壤溶液中养分浓度远低于细胞液中的浓度时,根仍可吸收,其动力是来自代谢能的供应;③不同植物或品种之间存在基因型差异,在同样环境下,其吸收利用养分的情况不同。例如,在磷胁迫条件下,不同植物或品种对磷的吸收速度有很大差异,凡单位重量根的表面积较大的,对磷的吸收速度亦较快。

吸收养分的动力

植物根吸收养分可以是被动的。它不需要代谢供应能量,可沿电化学势梯度,通过质膜内的载体(carriers)或离子通道(ion channels)扩散入内,亦可通过杜南平衡(Donnan equilibrium)的原理,在细胞内积累离子;也可以是主动的。主动吸收需要代谢供应能量,通过H泵ATP酶的作用,逆电化学势梯度进行(见养分的被动吸收、养分的主动吸收),二者同时存在。但主动吸收养分的方式常占主导地位,当土壤温度降低或用呼吸抑制剂处理,使植物根系呼吸受抑制的同时,根对养分的吸收亦受到抑制。下图为离子通过生物膜运输的示意。

通过生物膜的离子运输及信息传递示意图

主动吸收和被动吸收的推断

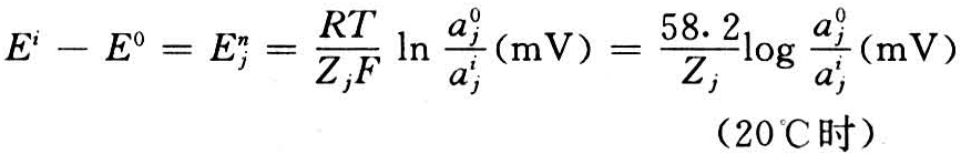
要鉴定植物摄取某种养分是主动吸收或被动吸收,利用楞斯特(Nernst)方程式有助于判别其动力的性质。该方程式是描述在平衡状态下,离子通过膜的分布及电势梯度间的关系。

养分吸收

式中 Ei为膜内(细胞内)的电势;E0为膜外(细胞外)的电势;为离子j的电势;为膜外溶液中离子j的活度(活度a与浓度c的关系为a=fc,f为活度系数,即溶液的实际浓度除有效浓度的商,在稀溶液中f≈1,a≈c);为膜内溶液中离子j的活度;R为气体常数;T为绝对温度;Zj为离子j的净电荷,如指阴离子,前面加负号。

可用微电极测定某种离子在膜内外的电势梯度及膜内外的离子浓度,将测定值代入楞斯特方程式,求出E的计算值。如以Ecal表计算的电势值,Em表测定的电势值,Ed表Em-Ecal的差,则

Em-Ecal=Ed

Ed为吸收离子的动力(driving force)。对阳离子而言,当Ed为负值时表示被动吸收,Ed为正值时表示主动吸收;阴离子则反之,Ed为负值时表主动吸收,为正值时表被动吸收。

测定丽藻属(Nitella)植物细胞内外的离子浓度及电势差结果如下表。丽藻为大细胞的海藻,较便于测定。如用整株植物研究就颇为困难,因为植物先端分生组织是根吸收的离子的很强的库,情况远较复杂。

表2 丽藻(Nitella translucens)中离子的电势梯度的测定值(Em)、计算值(Ecal)和吸收离子的动力(Ed

实际上活细胞较外界溶液有较强的负电荷,所以阴离子一般都是主动吸收。当细胞内阴离子浓度高于外界溶液时,就要靠代谢供应能量才能吸收,NO3 -、Cl-、SO4 2-及H2PO4 -都是逆电化学势梯度积累;但阳离子的情况不同,不需供应代谢能也可在细胞内积累(见养分被动吸收)。例如K,一般在细胞外K浓度较高时即可被动吸收,如细胞外的K浓度较低时就需供应代谢能进行主动吸收。

有很多环境因子影响根对养分的吸收,例如,当温度过高、过低;氧气缺乏;土壤pH值不适以及离子间相互竞争等都使根吸收养分的量明显降低,甚至不能吸收。栽培作物时应改善环境条件,促进养分的吸收,使施用的肥料能充分发挥作用。