登录| 注册    
收藏  点赞 

最优设计

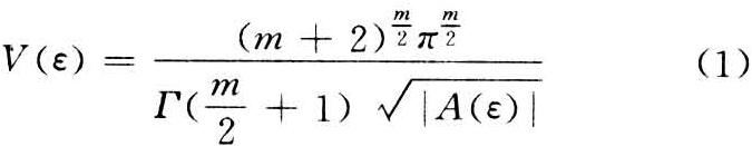
在给定因子空间x内实验单元数N相等的所有试验方案(ε)中,各回归系数的广义方差V(ε)最小的试验方案。该方案的广义方差V(ε)与其信息矩阵A(ε)的行列式值|A(ε)|的平方根成反比: 最优设计 式(1)中 Γ为Γ(x)函数,m是回归系数的数目。相关矩阵C(ε)是信息矩阵A(ε)的逆矩阵,由|A(ε)|·|C(ε)|=1,即|A(ε)|大等价于|C(ε)|小

在给定因子空间x内实验单元数N相等的所有试验方案(ε)中,各回归系数的广义方差V(ε)最小的试验方案。该方案的广义方差V(ε)与其信息矩阵A(ε)的行列式值|A(ε)|的平方根成反比:

最优设计

式(1)中 Γ为Γ(x)函数,m是回归系数的数目。相关矩阵C(ε)是信息矩阵A(ε)的逆矩阵,由|A(ε)|·|C(ε)|=1,即|A(ε)|大等价于|C(ε)|小,得出以下三个等价条件:

最优设计

V(ε*)是因子空间x内的D-最优设计方案,即最优设计是在因子空间中可能产生的试验方案(ε)中信息矩阵行列式值最大,也是相关矩阵行列式值最小的试验方案。最优设计的出发点是优化回归方程的统计性质。

最优设计试验方案通常用数值方法构造,先给定一个初始方案,然后用计算机构造出一系列方案的信息矩阵行列式值|A(ε)|逐渐增大,并收敛于D-最优设计方案。

最优设计有一次和二次模型的区别,也有饱和的与非饱和的区别。饱和设计是回归模型中参数数目与试验方案中不同处理内容的实验单元的数目相等,也就是可以获得回归模型中各项参数的规模最小的试验方案。饱和设计不仅节省人力、物力、经费,而且更适合于肥料试验网多点试验。

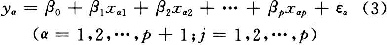
一次饱和D-最优设计的回归模型为:

最优设计

二次最优设计的回归模型为:

最优设计

具体的设计方案已有规范化的表格可查。多于四个因素的只提出了一些较好的试验方案。

十多年来中国肥料研究人员已广泛应用最优设计进行肥料试验。由于饱和设计总自由度与回归自由度相等,不能进行F检验,不设重复的单点饱和设计试验不能对试验误差作出估计。但在肥料试验网中可以采用饱和设计广泛进行试验,取得大量设计方案相同的试验数据。用数值分类方法将不同点的试验资料进行分类。每个类型已包含试验结果相似的试验点若干个,类型内的总自由度大量增加,就可以进行显著性检验。这时最优设计参数估计精度高的优越性即可充分发挥,即能求得精度最高的预测值作出区间估计。最优设计的不足是各处理组合都分布在因子空间的边缘。在最受人关心的因子空间中部只能依赖计算估计,以致在统计学的优良性方面与专业研究要求方面有时不能统一。