登录| 注册    
收藏  点赞 

15N测定生物固氮

用富集15N的N2、无机或有机肥料为示踪剂或利用15N天然丰度的变异,根据固氮体对15N的吸收,测定生物N2固定的方法。同位素法的最大优点是能区分固氮植物来自土壤、肥料和大气的氮,是唯一能直接测定生物固氮量的方法。比凯氏定氮法准确、灵敏,能克服乙炔还原法的不足,还能在田间条件下测定固氮作物的实际固氮力。15N测定生物固氮有下列四种方法。

用富集15N的N2、无机或有机肥料为示踪剂或利用15N天然丰度的变异,根据固氮体对15N的吸收,测定生物N2固定的方法。同位素法的最大优点是能区分固氮植物来自土壤、肥料和大气的氮,是唯一能直接测定生物固氮量的方法。比凯氏定氮法准确、灵敏,能克服乙炔还原法的不足,还能在田间条件下测定固氮作物的实际固氮力。15N测定生物固氮有下列四种方法。

15N还原法

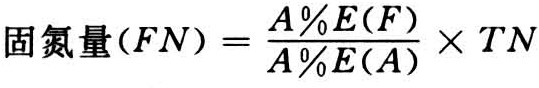
利用固氮微生物对N2的还原作用,将固氮体系直接暴露在含有15N2的密封气相系统一段时间,然后取样分析。如果发现固氮体系有15NH3或其他15N-富集的衍生物,即证明有固氮作用发生。由下列公式计算固定的氮量:

15N测定生物固氮

式中 TN为固氮体总氮量,A%E(F)和A%E(A)分别为固氮体和标记氮气的15N原子百分超。该法已用来提供N2固定最直接的证据,确定C2H2/N2б,以校正乙炔还原法中由产生的乙炔计算的固定N2量。由于作物在密闭的生长室中不同于田间条件,而且只能保持一个短时间,所以很少应用此法来测定固氮作物的实际固氮量。但此法适用于测定水稻土的非共生固氮。

同位素稀释法

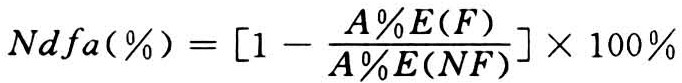
通过比较生长在相同15N/14N比的土壤中的固氮作物和作为对照的非固氮作物的15N富集度,测定固氮作物的固氮力。施用15N标记的无机或有机肥料,使土壤获得标记,生长在该土壤中固氮作物和适宜的非固氮作物(对照作物)从土壤中吸收相同15N/14N比的氮,而固氮作物还从大气中吸收氮。结果其体内的15N丰度由于被来自大气中的14N所稀释而低于对照作物。按下列同位素稀释公式计算豆科作物中来自大气氮的百分率,即固氮率(Ndfa):

15N测定生物固氮

式中 A%E(F)和A%E(NF)分别为固氮作物和非固氮作物的15N原子百分超。同位素稀释法可用于田间固氮作物的原位测定,б较接近自然。是一种间接的,能准确测定一个长时期内固定的氮量的方法。所用15N丰度要求不高,测定费用低。因此得到广泛应用。但依赖于适宜参考作物的选择。