登录| 注册    
收藏  点赞 

15N丰度测定

由质谱仪或光谱仪分析样品氮的同位素丰度。将氮气样品引入质谱仪或充入光谱仪的放电管中,不同同位素组成的氮气在质谱仪的电离室中电离,产生不同质量的正离子,或在光谱仪的放电管中受激发时,不同质量的氮气分子发射不同波长的光。将它们分离、接收并记录,根据信号的强度按下列公式计算15N丰度。 15N丰度测定 式中 R为质谱仪或光谱仪输出的28N2和29N2信号强度的б值即R=28N2/29N2。

由质谱仪或光谱仪分析样品氮的同位素丰度。将氮气样品引入质谱仪或充入光谱仪的放电管中,不同同位素组成的氮气在质谱仪的电离室中电离,产生不同质量的正离子,或在光谱仪的放电管中受激发时,不同质量的氮气分子发射不同波长的光。将它们分离、接收并记录,根据信号的强度按下列公式计算15N丰度。

15N丰度测定

式中 R为质谱仪或光谱仪输出的28N229N2信号强度的б值即R=28N2/29N2

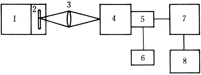
质谱分析

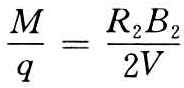
将样品在质谱仪的电离室中经电子轰击所形成的离子进行电磁分离,然后根据绝缘极上接收到的离子流强度,计算15N丰度,如图1所示。不同质量的N2分子在电离室受到阴极发射的电子的轰击,电离产生相应的离子。在电离室的出口缝(S1)和离子源的出口缝(S0)之间有一个加速电场。带有相同电荷而质量分别为M1,M2和M3的正离子受到电场和右上方磁场的作用,作圆周运动。圆周运动的半径为离子质量、电场电压、磁感应强度的函数:

15N丰度测定

式中 M为离子质量;q为离子电荷(N2离子的电荷为1);B为磁感应强度;V为电场电压;R为离子运动的半径。

图1 质谱仪原理图

通过电磁分析器后,不同质量的离子分离,分别聚焦在不同的位置上,用离子接收器接收离子流。根据电流计上读出的离子流的强度,就可知道不同质量离子的比值。一般电磁分离器的曲率半径是一定的,而且只有一个接收器,但可以通过改变电场电压或磁场使不同质量的离子轮流聚焦在同一接收器上。前者称为电扫描,后者称为磁扫描。同位素质谱仪主要由进样系统、离子源、质量分析器、接收系统和记录系统组成。

光谱分析

其原理是基于N2分子发射光谱的同位素迁移效应。即N2分子受到外来能源的激发后,同位素组成不同的分子发射光的波长产生位移。当分子受到激发时,其轨道电子跃迁到较高的能级,这个分子就处于激发状态。当电子从高能态回到基态时,能量以光子形式发射出来,即产生发射光谱。激发分子的能量由电子跃迁能。分子振动能和分子转动能组成。一种元素的各种同位素的电子状态是一样的,而核质量不同,分子振动能量和原子质量有关。由于振动能的差异,引起光谱带波长的位移。三种氮气分子,28N229N230N2在2~0带光谱带的波长分别为297.7纳米,298.3纳米和298.9纳米,位移0.6纳米,且有较大的光强,带光谱的强度与对应的分子数成正比,因而由适当的分光器分离后,由光电倍增管接收变成电信号,经放大,整流后,变成电压的变化,以谱峰的形式记录下来,根据谱带头的高度计算15N丰度。

光谱仪主要由发光、分光和记录三部分组成。①发光部分。在高真空状态下将N2封入放由石英或能透过紫外线的特制玻璃制作的放电管中。有的放电管是开放式的,如NOI-6型光谱仪,N2样品由氦气流导入开放的石英管中,测量完后为继续流入的氦气流清除。高频发生器或微波发生器供给N2分子能量,使其激发。②分光部分。其功能是将混合光分离成单色光,一般为棱镜和光栅。③接收器和记录系统。光电倍增管接收一定波长范围的单色光,将光的信号按比例地转换成电信号。光电倍增管阴极接收信号,在阳极产生电压变化,带动记录仪的笔移动,描绘出谱带头的高度。

图2 N2光谱图

图3 15N光谱仪方框图

大多数现代设计的光谱仪利用光栅为单色仪。日本产的较老的型号NIA-1和新型号N-150都应用记录带强度的记录仪。德国产的NOI-4和NOI-5型以NaCl棱镜为分色仪。这些型号已不再生产,现为自动化程度较高的Isonitromat 5200,5201和NOI—6型取代。5200能自动分析Kjeldahl硝化液,最少样品氮量为120微克,测量从自然丰度到30原子百分范围内的15N样品。NOI-6型的基本性能与5200相似,但在很多方面进行了改进。既能测量封闭的杜马管,也能用开放的石英放电管,且配备了微处理机,能自动进行数据计算并打印出结果。能测量1微克氮量的样品,测量的15N丰度在自然丰度至80原子百分的范围内。