登录| 注册    
收藏  点赞 

标准化

为便于统计量的应用和相互比较而采用的一种数据变换方法。从实际资料估计的各种统计量具有原来资料的单位,绝对值和变异度相差甚大。通过标准化处理,使其转化为一个不带具体单位的纯数,利于对比分析和实际应用。统计量的标准化随资料的性质和分析目的而有所不同。在数理统计中常用标准差进行标准化。标准差是描述数据资料变异的重要特征数,也是决定正态分布的基本数之一,具有与观察值相同的单位。

为便于统计量的应用和相互比较而采用的一种数据变换方法。从实际资料估计的各种统计量具有原来资料的单位,绝对值和变异度相差甚大。通过标准化处理,使其转化为一个不带具体单位的纯数,利于对比分析和实际应用。

统计量的标准化随资料的性质和分析目的而有所不同。在数理统计中常用标准差进行标准化。标准差是描述数据资料变异的重要特征数,也是决定正态分布的基本数之一,具有与观察值相同的单位。因此用它标准化后的统计量就成为不带物理单位的相似值,并能消去变异度不同的影响。

在遗传育种工作中常用的标准化统计量有标准化变量、标准化偏回归系数、标准化选择差等。

标准化变量

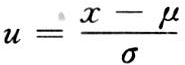
将随机变量x化为以标准差为单位的离均差量值。令

标准化

式中 u称为正态标准离差。u值服从μ=0,σ=1的标准正态分布。通过标准化,可将任意正态分布转化为标准正态分布。对于变量x服从标准正态分布,则x落在任意区间的概率,就可从标准正态函数值表查得。u值下限一般不小于-5,加5后即全为正数,u+5即叫普罗比(probit),也叫概率单位,是育种工作中进行普罗比分析的重要参数。

标准化偏回归系数

见通径系数。

标准化选择差

称为选择强度

在制订多性状选择指数中,因各性状的单位不同,不能直接相加。通过标准化处理,即将各性状的表型值分别除以各自的标准差,消去了单位就可以相互加减。