登录| 注册    
收藏  点赞 

重复率

的或局部的条件所造成的环境方差。按方差的成因来剖分,个体间的方差组分,个体内度量间方差组分,于是重复率为 重复率 上式说明重复率受性状的遗传方差、一般环境方差和总方差的影响。性状的群体遗传特性和畜群所处的环境条件均可影响重复率。特定条件下估测的重复率,只能反映特定条件下的情况。

一个数量性状在同一个体上多次度量值间的相关,是数量性状遗传参数之一。它等于以个体分组、以其各次度量值为组内成员的组内相关系数。

重复率

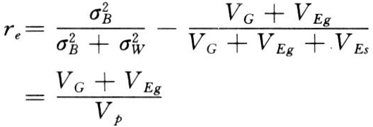
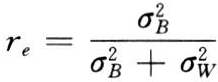
式中 re为重复率;为个体间方差组分;为个体内度量间方差组分。

已知Vp=VG+VEg+VEs(见数量遗传学),式中,VEg为一般环境方差(或持久性环境方差),是由时间上持久的或空间上非局部的条件所造成的环境方差。VEs为特殊环境方差(或暂时性环境方差),是由暂时的或局部的条件所造成的环境方差。按方差的成因来剖分,个体间的方差组分,个体内度量间方差组分,于是重复率为

重复率

上式说明重复率受性状的遗传方差、一般环境方差和总方差的影响。性状的群体遗传特性和畜群所处的环境条件均可影响重复率。特定条件下估测的重复率,只能反映特定条件下的情况。

估测重复率有一个假设,即各次度量时个体间遗传方差是不变的,多次度量的遗传基础相同,否则估测的就不是重复率,而是不同性状间相关。

重复率的估测方法见相关条的相关计算方法。

不同家畜不同性状的重复率不同(表1)。估值在0.6以上为高重复率,0.3~0.6之间为中等重复率,0.3以下为低重复率。

表1 主要性状的重复率

重复率的主要用途:①重复率可作为判断同一性状遗传力估测是否正确的参考。因为遗传力h2=VA/

Vp,而重复率re,所以遗传力最高等于重复率(在VA=VG,VEg=0时),不可能超过重复率。如果出现h2>re,说明h2估测有误。②根据重复率可确定性状需要度量的次数(表2)。重复率高的性状根据少数几次度量就可达到较高的精确度,重复率低的性状就要经过多次度量才有比较可靠的结论。③利用重复率估计家畜终身可能的平均生产力。

表2 不同重复率性状所需的度量次数

重复率

式中 Px为个体x的可能生产力;P(n)为个体n次记录的均值,即n次度量均值;为全群体平均值;re(n)为n次度量均值的重复率,即个体可能生产力对其自身n次度量均值的回归系数。

重复率

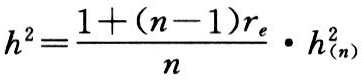
④利用重复率可计算多次度量均值的遗传力

重复率

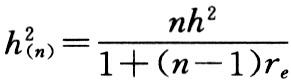
也可利用重复率将多次度量均值的遗传力换算为一次度量值的遗传力

重复率