登录| 注册    
收藏  点赞 

显著性检验

目的是确定依变量y与m个自变量间是否存在线性回归关系,检验的假设为H0∶β1≈0,β2≈0,…,βn≈0。由方差分析法计算统计量F: 显著性检验 式中(i=1,2,…m),SS离,m为自变量数,n为变量观察数。求得F值后,查F界值表,确定其P值,按所取检验水准作出推断结论,若否定H0,则可认为存在线性回归关系,所配多元回归方程成立。

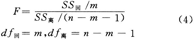
目的是确定依变量y与m个自变量间是否存在线性回归关系,检验的假设为H0∶β1≈0,β2≈0,…,βn≈0。由方差分析法计算统计量F:

显著性检验

式中(i=1,2,…m),SS,m为自变量数,n为变量观察数。

求得F值后,查F界值表,确定其P值,按所取检验水准作出推断结论,若否定H0,则可认为存在线性回归关系,所配多元回归方程成立。