登录| 注册    
收藏  点赞 

公畜指数

通过与配种的母畜或女儿的生产性能表示公畜生产性能的数值。最早应用于乳用公牛的选择,又叫种公牛指数(bull index)。计算公畜指数公式很多,而且都是从奶牛育种中提出并发展的。这些公式是: 公畜指数 式中 S为公畜指数;D为女儿平均产量;M为母亲平均产量;st为品系平均数。 公畜指数 式中 S、D、M的定义如前。 公畜指数 式中 S和D的定义如前;n为母亲组数

通过与配种的母畜或女儿的生产性能表示公畜生产性能的数值。最早应用于乳用公牛的选择,又叫种公牛指数(bull index)。计算公畜指数公式很多,而且都是从奶牛育种中提出并发展的。这些公式是:

公畜指数

式中 S为公畜指数;D为女儿平均产量;M为母亲平均产量;st为品系平均数

公畜指数

式中 S、D、M的定义如前。

公畜指数

式中 S和D的定义如前;n为母亲组数;为群体平均数

公畜指数

式中 S和D的定义如前。

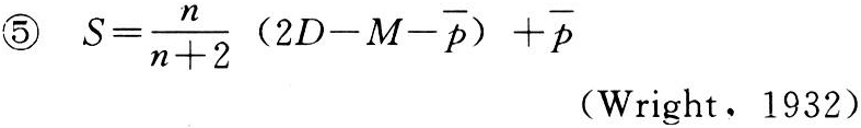
公畜指数

式中 S、n、D、M、的定义如前。

公畜指数

式中 S、D、M、的定义如前。

公畜指数

式中 S、D、M、的定义如前;b为公畜内母女回归系数。

从以上多数公式来看,公畜指数也是一种后裔测验,多用于50年代以前的奶牛育种。目前已被更为有效的估计公畜育种值选择方法所代替。