登录| 注册    
收藏  点赞 

合并选择

结合个体与家系成绩选种的一种选择方法。这一方法允许在低产家系中选留一部分高产个体,同时在高产家系中也要淘汰一部分低产个体。合并选择需要对个体表型值和家系平均分别作出加权。在实际应用时对个体表型值的权值定为1

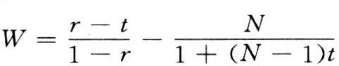
结合个体与家系成绩选种的一种选择方法。这一方法允许在低产家系中选留一部分高产个体,同时在高产家系中也要淘汰一部分低产个体。合并选择需要对个体表型值和家系平均分别作出加权。在实际应用时对个体表型值的权值定为1,因而只需对家系平均数与全群平均数的离差进行加权。计算加权值的公式是:

合并选择

式中 W为对家系平均数离差的加权值;r为家系内个体育种值间的组内相关系数;t为家系内个体表型值间的组内相关系数;N为家系内的个体数。在求得W后即可计算合并选择指数,计算的公式是:

I=P+WPf

式中 I为合并选择指数;P为个体表型值;W为加权值;Pf为家系平均数与全群平均数的离差。合并选择与个体选择家系选择家系内选择属于同一种选择方法范畴。从理论上看,合并选择结合了个体选择家系选择的优点,适用于中等遗传力性状的选择。