您好,欢迎来到 智汇三农-农业专业知识服务平台
|
注销
| 机构管理
|
切换用户
登录
|
注册
数据库
图书
条目
新闻
图片
视频
百科
问答
高级
检索
热词推荐:
水稻
玉米
奶牛
消毒
氮肥
冠状病毒
流感
三农书城
种植技术
畜牧兽医
水产养殖
农业经济
农业机械
生态农业
林学
农产品质量与安全
新农村文化
历史与古籍
农业标准
年鉴年报
主题数据库
中国农艺学全库
中国畜牧兽医全库
中国农业经济全库
中国农业年度数据库
中国农业标准全库
中国农业百科频道
中国农业图片库
中国农业视频库
农业科技成果库
会议信息
农艺学
畜牧兽医
渔业类
农业经济
综合类
项目信息
三农资讯
时事热点
政策法规
行业要闻
农技推广
中央一号文件
政策解读
出版服务
出版社概况
分社介绍
投稿须知
专利查询
智汇园地
个人中心
当前位置 :
首页
>
百科
>
畜牧业
>
家畜遗传
>
生物统计
>
显著性检验
>
F检验
热门百科
公牛阉割术
公羊阉割术
土壤剖面
鱼体死后变化
公猪阉割术
贸易标准样茶
林木分级
中国野兔
r型和K型选择
针叶林
百科推荐检索
加载中...
收藏 
点赞 
分享
QQ空间
新浪微博
微信扫一扫
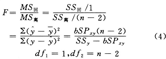
F检验
将求得的F值查方差分析用F界值表,确定其P值,按所取检验水准(α)作出推断结论。
目录
F检验
将求得的F值查
方差分析
用F界值表,确定其P值,按所取检验水准(α)作出推断结论。
欢迎
评论
注册
|
登录
[
0
]人参与 (
点击查看
)
匿名评论
所有评论仅代表网友意见
个人登录
机构登录
忘记密码?
|
注册
两周内免登录
其他方式登录
忘记密码?
|
注册
其他方式登录
购买全库阅读权限
¥150.0
全库权限一月
¥300.0
全库权限一季
¥550.0
全库权限半年
¥1000.0
全库权限一年
数据库
中国农艺学全库
中国畜牧兽医全库
中国农业经济全库
中国农业年度数据库
中国农业标准全库
中国农业百科频道
中国农业图片库
中国农业视频库
农业科技成果库
所有评论仅代表网友意见