高级
检索
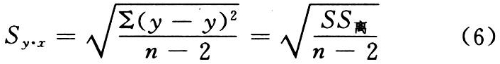
β为总体回归系数;Sb为回归系数标准误;Sy.x为y依x的离回归标准误(估计误标准误), t检验 将求得t值查t界值表,确定其p值,按所取检验水准(α)作出推断结论。
t检验
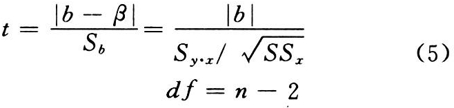
式中 β为总体回归系数;Sb为回归系数标准误;Sy.x为y依x的离回归标准误(估计误标准误),
将求得t值查t界值表,确定其p值,按所取检验水准(α)作出推断结论。这里因df1=1,t=
匿名评论 所有评论仅代表网友意见
所有评论仅代表网友意见