登录| 注册    
收藏  点赞 

家系

由同一亲本后代组成的群体。在动物育种中最常见的是全同胞家系、半同胞家系和全同胞与半同胞混合家系三种形式。同父同母所产生的后代为全同胞家系,全同胞间的亲缘相关是0.5。同父异母所产生的后代,在一胎单仔动物中为半同胞家系,半同胞间的亲缘相关是0.25;在一胎多仔动物中为全同胞与半同胞混合家系

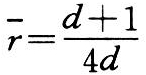
由同一亲本后代组成的群体。在动物育种中最常见的是全同胞家系、半同胞家系和全同胞与半同胞混合家系三种形式。同父同母所产生的后代为全同胞家系,全同胞间的亲缘相关是0.5。同父异母所产生的后代,在一胎单仔动物中为半同胞家系,半同胞间的亲缘相关是0.25;在一胎多仔动物中为全同胞与半同胞混合家系,它们间的亲缘相关决定于与一头公畜配种的母畜数和每头母畜所产的仔畜数。计算混合家系亲缘相关的近似公式是:

家系

式中为某个混合家系中个体间的平均亲缘相关;d为与某头公畜配种并产仔的母畜数。