登录| 注册    
收藏  点赞 

间接选择

通过对辅助性状的选择来提高与其相关的目标性状的一种选择方法。间接选择的条件 间接选择适用于目标性状遗传力低、生产周期长、直接选择效果差的情况。适合作为辅助性状的条件是:①本身的遗传力高;②与目标性状的遗传相关高;③生产周期短或是在早期即可观察的性状

通过对辅助性状的选择来提高与其相关的目标性状的一种选择方法

间接选择的条件

间接选择适用于目标性状遗传力低、生产周期长、直接选择效果差的情况。适合作为辅助性状的条件是:①本身的遗传力高;②与目标性状的遗传相关高;③生产周期短或是在早期即可观察的性状;④容易度量。

间接选择的选择反应

计算公式是:

CRy=ixhxhyrAσy

式中 CRy为选择辅助性状x时,目标性状y的间接选择反应;ix为辅助性状x的选择强度,可根据留种率求出(见选择强度);hx,hy分别为辅助性状x和目标性状y的遗传力平方根;rA为辅助性状x和目标性状y的遗传相关系数;σy为目标性状y的标准差

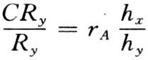
间接选择与直接选择的比较

对y性状间接选择时的选择反应,所以:

间接选择

设性状x与y有同样的选择强度(ix=iy),于是:

间接选择

可以看出,当目标性状(y)的遗传力低,辅助性状(x)的遗传力高,并且两个性状有高的遗传相关(rA)时,间接选择的效果优于直接选择。