登录| 注册    
收藏  点赞 

近交系数

某一个体(二倍体生物)任何位点上的两个相同基因来自其父母共同祖先的同一基因的概率。也就是这个个体会是同源纯合子的机会。或定义为个体所由形成的两个配子间的相关系数。近交系数多用F来表示。近亲交配是家畜育种工作的重要手段,它有多方面的用途。但使用过程,又会产生近交衰退现象(见近交)。因此,在育种工作中需要有一个衡量和表示近交程度的数量指标,特别是当采用不规则的近交时。

某一个体(二倍体生物)任何位点上的两个相同基因来自其父母共同祖先的同一基因的概率。也就是这个个体会是同源纯合子的机会。或定义为个体所由形成的两个配子间的相关系数。近交系数多用F来表示。近亲交配是家畜育种工作的重要手段,它有多方面的用途。但使用过程,又会产生近交衰退现象(见近交)。因此,在育种工作中需要有一个衡量和表示近交程度的数量指标,特别是当采用不规则的近交时。一般用近交个体(近交所生子女)的近交系数来作为衡量近交程度的指标。

近交系数的计算公式

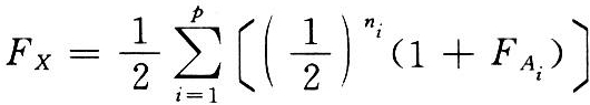
个体X的近交系数(FX)计算公式如下:

近交系数

或简写为

近交系数

式中 n为个体X的父亲通过共同祖先到X的母亲的代数(即箭形系谱图中通过共同祖先连接父母的箭头数);FA代表共同祖先本身的近交系数,A是共同祖先;∑为求和符号;p为通径链的总数(i=1,2,…,p)。通径链在此指从X的父亲通过共同祖先到X的母亲的通路。由于父亲和母亲的共同祖先有时不止一个,而且通过同一共同祖先的通路有时也不止一条,因此需要对每条通径链求(1/2)n(1+FA)的值,然后再相加。

当共同祖先不是近交个体时,由于FA=0,上式即简化为:

近交系数

从上述公式可见,共同祖先与父母相隔的代数愈近,或共同祖先愈多,则个体X为非近交后代时,FX=0。

近交系数计算示例

半同胞交配所生子女的近交系数

近交系数

FX=1/2〔(1/2)2(1+0)〕=0.125=12.5%

全同胞交配所生子女的近交系数

近交系数

附表

FX=1/2〔(1/2)2+(1/2)2〕=0.25=25%

亲子交配所生子女的近交系数

近交系数

在此例,102号家畜父母的共同祖先是2号,由102号的父亲5号通过共同祖先2号至102号的母亲2号的代数只有一代,因此

F102=1/2(1/2)1=0.25=25%

共同祖先为近交的后代

近交系数

在本例,47号与36号只有一个共同祖先,即29号。7号只是13号和14号的共同祖先。7号对103号的遗传影响已由29号所代表。因此:

F29=1/2(1/2)2=0.125

F203=1/2〔(1/2)2(1+0.125)〕=0.14=14%

在通径链的追溯规则中有一条是:在找连接两个体间的通径链时应避免重复,即一条通链不能两次通过同一个体。故本例中连接47与36的通径链只有一条,即47←29←36,下面两条都不是连接它们的通径链:47←29←13←7→14→29→36与47←29→14←17→13→29→36。

连续两代的全同胞交配

近交系数

附表

F7=1/2〔2(1/2)2+4(1/2)4〕=0.375=37.5%

不规则的近亲交配

近交系数

连接433与482的通径链只有一条:433←387←267→482,而433←350→387←267→482不是连接433与482的通径链,因为确定通径链的原则之一是:在一条通径链内最多只能改变一次方向。350不是433和482的共同祖先。因此,

F526=1/2(1/2)3=0.0625

为使个体近交系数的计算结果正确,必须注意做好以下工作:①要有正确的配种记录与系谱材料;②掌握好通径链的追溯规则。在手工计算时,还要求能正确地绘制箭形系谱图。

畜群近交系数的计算与预估

在某些育种工作(如新品系培育和各种选择试验)告一段落时甚至在进行过程中,常需计算畜群的平均近交系数。最简便的方法是:先求出每个个体的近交系数,再计算其平均值。在使用微机计算时,此法就更简便,即使是个大群体。在拟订某些育种方案时,也常需要预计某个时间可能达到的平均近交系数,这时可采用下述近似公式进行估计:

Ft=1-(1-ΔF)t

在随机留种时,

近交系数

在各家系等数留种时,

近交系数

式中 Ft为t世代时群体的平均近交系数;△F为每代近交系数的增量;Nm和Nf分别为能实际配种的公畜数和母畜数。应用上述公式的前提是:畜群闭锁繁殖,随机交配,各代规模不变。

例如一闭锁猪群有6头公猪,50头母猪,采用各家系等数留种方式,6代随机交配后的群体平均近交系数为:

近交系数