登录| 注册    
收藏  点赞 

牧草产量

单位面积的草原在单位时间内饲用植物地上部分的生长量。它是评定草原基础生产能力的一种指标,可用青草、干草、干物质或有机物质等形式表示。牧草产量的意义在于:①说明草原初级生产的效率和在一定时期内能供给家畜多少牧草;②是草原次级生产的基础,它的数量和质量直接影响草原的载牧量和畜产品生产;③通过它可以了解不同时期的草层植物学成分及其生活力状况,并据此判断不同利用条件对草层和土壤的影响。

单位面积的草原在单位时间内饲用植物地上部分的生长量。它是评定草原基础生产能力的一种指标,可用青草、干草、干物质或有机物质等形式表示。牧草产量的意义在于:①说明草原初级生产的效率和在一定时期内能供给家畜多少牧草;②是草原次级生产的基础,它的数量和质量直接影响草原的载牧量和畜产品生产;③通过它可以了解不同时期的草层植物学成分及其生活力状况,并据此判断不同利用条件对草层和土壤的影响。

牧草产量是通过在草地上取样,测定样方的产量后计算出来的。为了符合统计学的要求,测产样方面积的大小、形状和重复次数,对不同的草地类型有不同的要求。在牧草产量的实际测定中,有经济产量和生物学产量两种概念和测定体系。

经济产量

单位面积的草原在单位时间内生产的可供家畜牧食或刈割的牧草重量。

不同内容的经济产量

牧草生长发育有明显的季节性,按时间特性来归纳,有三种产量的测定。

适宜利用时期产量

在牧草适宜利用的成熟时期测定的产量。对割草地是禾本科牧草抽穗、豆科牧草1/3开花的时期;对放牧地是禾本科牧草分蘖—拔节,豆科牧草分枝—孕蕾的时期。在第一次产量测定之后,当牧草再次生长到适宜利用的时期和高度时,测定再生草的产量,再生草产量可测定一至多次。各次产量相加,就是全年的适宜利用时期产量。

实际产量(利用前产量)

在草原的利用中实际利用时期的牧草产量。在低草和中草草地,于放牧前5日内测定;对高草草地,在利用前3日内测定。各次测定的产量之和就是全年的实际产量。

动态产量

按照设计建立系列测产样方,在不同时期测定的一组牧草产量。测定的时期可以是不同的生长发育期,也可以是一定的间隔时期,如每10天、15天、1个月、1个季度。动态产量的资料主要用于了解牧草产量随时间的变化和比较分析不同时期的利用对草地产量和其他方面的影响。

剪草及留茬高度

在设置好的样方或样地内,将牧草按种或经济类群剪下,分别装入袋内称重,登记青重后备用。剪草时需根据该地放牧家畜牧食的特性决定留茬高度。对于绵羊、山羊、马和牦牛的放牧地,留茬高度2厘米,牛的放牧地留茬4~5厘米。割草地留茬5~7厘米。对于高草草地,留茬高度决定于利用的茎秆高度,一般不低于8厘米。对于再生草的留茬高度,放牧地同上,割草地取上限。

灌木可食部分的产量测定

草地上灌木可食嫩枝叶的产量测定方法不同于草本,其程序是:①在大样方或样地中记载灌木丛的数目,并按大、中、小三类分别统计。②在每一类灌木丛中选择3~5丛作为标准丛,在这些标准丛上剪取直径2~3毫米以下的嫩枝;对于羊的放牧地,1.2米以上高度的嫩枝因采食不到可以弃去不剪;对于骆驼的放牧地,3米以上的不剪。剪下的嫩枝叶装袋称青重后备用。③根据丛数和每丛的产量推算单位面积的可食嫩枝产量。

样地内灌木丛间的草本仍按前述方法设小样方测定。样地灌丛和草本的总产量按下列公式计算:

牧草产量

样本处理

将登记了青重的牧草和灌木样本,在布袋或纸袋内阴干后登记风干重(干草重)。再取小样本在100~105℃下烘干至恒重登记干物质重。如有必要,再取干物质样本2~3克,在茂福炉内灰化,称灰分重,干物质重量—灰分重量=有机物质重量,亦称去灰分物质重量。

生物学产量

单位面积的草原在单位时间内积累的地上净初级产量。草原牧草通过光合作用生产的植物有机物称总初级产量(Pg),牧草在进行初级生产的同时还通过呼吸消耗掉一部分有机物(R),剩余部分就是以牧草组织或贮藏的营养物质表现的净初级产量(Pn),因此Pg=R+Pn,净初级产量才是有效的产量。根据国际生物学计划(IBP)规定,测定和计算草地地上净初级产量所需的基本参数是:B1和B2为时间t1和t2时草地群落的现存量&ΔB(B2-B1)为草地群落在时间t1~t2期间现存量的增量;L为在t1~t2期间草地群落由死亡和脱落损失的死植物量,包括立枯物量和凋落物量;G为在t1~t2期间被动物采食的植物量。如果很好地测定了△B、L和G,则草地地上部分的净初级产量可用公式算出:Pn=△B+L+G。根据公式的原理,需要在一定时期内两次测定以上的植物量,才能计算出这一期间的净初级产量。

现存量的测定

某一时刻单位面积上的活植物体重量。将样方内的牧草植物齐地面剪下(不留茬),拣出死亡的立枯物和凋落物,称重登记青重后,在实验室测干物质重和去灰分物质重。

立枯物量的测定

为死亡后仍直立或未脱离活的株体的死植物体重量。对于十分低矮的草地或以座垫植物、莲座丛植物为主的草地,立枯物难以和凋落物区分,可将两者合并称重和统计。

凋落物量的测定

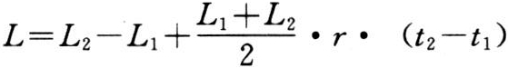
死亡并脱落到地面的植物体重量。对于高大草本和灌木,测定凋落物量需用专门的收集器,将其在到达地面前截留并保存下来,此外还必需防止破碎、溶解和分解等造成的损失。对于一般的草地,可在较长的间隔时期,例如一个月一次在样方中直接收集凋落物。直接收集还需考虑凋落物在草地上放置过久因分解而造成的损失(在湿热条件下这种损失很大),因此需要测定凋落物的平均消失率(r)以校正凋落物量。平均消失率可用成对小样方法或尼龙网袋法测定,其计算公式为:

牧草产量

式中 l1和l2为t1和t2时成对小样方或尼龙网袋中的凋落物量(克/米2);1n为自然对数。然后再根据下式计算t1~t2期间样方中的凋落物量:

牧草产量

式中 L1和L2为t1和t2时样方中的凋落物量(克/米2)。

动物采食量的估测

包括家畜、野生草食兽和植食性昆虫的采食量估测。一般情况下昆虫采食量不超过净初级产量的1%~2%,故略去不计。家畜的采食量可根据家畜头数、家畜体重、放牧时间、家畜的增重和畜产品数量,按照家畜营养物质需要表逆算为牧草干物质量;也可按家畜体重或家畜平均放牧采食量与放牧时间估算。野生草食兽的采食量按其数量和采食时间估算,如果测产的样方和样地用围栏保护,没有家畜和野生草食兽的采食,则G=0,测定简化为:

Pn=ΔB+L

上述两种体系的牧草产量测定方法表明,牧草的经济产量和生物学产量在概念上是有区别的。经济产量是指草原牧草可供家畜牧食或刈割后饲喂家畜的那部分产量,它既不是净初级产量的全部,却也可能包括了一定时期以前的立枯物和凋落物产量,前者多用于草原生产管理,后者多用于草地群落学和生态学试验研究。至于牧草地下部分的产量,如无特别要求可以不测。

牧草产量的其他测定方法及展望

上述传统的牧草产量测定方法都需对牧草进行刈割,因此称为刈割法或破坏性产量测定法。其缺点是不能在同一样地上连续测定产量。为此,曾提出一些非破坏性的产量测定方法。例如,根据牧草生长量与草层的高度与盖度的相关,通过高度和盖度的测定,间接估算牧草产量;也可根据牧草生长量与生态因素的相关,通过降水量、蒸散量等估算牧草产量。20世纪70年代以来利用遥感技术获取草原植物群落光谱反射数据,根据群落波谱信息和牧草生长量的函数关系,用以估测牧草产量的方法,已在许多国家得到实际应用。遥感估测方法以其宏观、迅速、经济等优点,将成为监测大面积草原牧草产量动态的理想手段。