登录| 注册    
收藏  点赞 

平均数

反映数据资料平均数量水平的特征数,简称均数。它表示资料中数据的中心位置,常作为其代表值与其他同类资料相比较。平均数种类较多,其中应用最为普遍的是算术平均数。此外,尚有几何均数、调和均数、中位数、最小二乘均数等,可供特定情况下选用。算术平均数arithmetic mean通常称平均数,记作。设含有n个观察值x1,x2,…,xn的样本

反映数据资料平均数量水平的特征数,简称均数。它表示资料中数据的中心位置,常作为其代表值与其他同类资料相比较。

平均数种类较多,其中应用最为普遍的是算术平均数。此外,尚有几何均数、调和均数、中位数、最小二乘均数等,可供特定情况下选用。

arithmetic mean

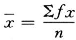
通常称平均数,记作。设含有n个观察值x1,x2,…,xn的样本,其算术平均数计算公式为:

平均数

式中 Σ为累加符号,表示从第一个观察值xi一直累加到第n个观察值xn。在意义明白时,上式可简写成:

平均数

样本平均数常作为总体平均数μ的估值。

如果各观察值具有不同频数f1的重复,而f1+f2+…+fk=n,则计算的公式为:

平均数

算术平均数适用于呈正态分布的资料,因它与样本中每个观察值都发生关系,代表性很强。但它易受极大极小值的影响。当极端值对平均数产生较大影响或资料呈偏态分布时,算术平均数失去代表性,应选用其他平均数反映其集中性。

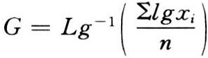
geometric mean

n个观察值的乘积开n次方所得的数值,为它们的几何均数,记作G。

平均数

为计算方便,通常写成对数形式。则几何均数是观察值对数的算术平均数的反对数。即:

平均数

对于数据呈倍数或级数关系的资料,常用几何均数来表示它们的平均水平。例如计算畜群的平均增长率,医学中抗体的平均滴度和效价等。但资料的观察值中不能有零。

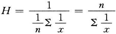
harmonic mean

n个观察值倒数的平均数的倒数,称为调和均数,记为H。其计算公式为:

平均数

调和均数多用来计算速度一类资料的平均数。在畜牧育种中利用调和均数原理计算公畜有效女儿数和群体有效含量。

对于同一资料,有的关系,H具有最能减少极端值的作用。

median

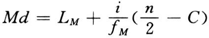
一组数据中按大小顺序排列序次居中的数,又称中数,记为Md。当样本数目为奇数时,最中间位置的数就是Md;当样本数目为偶数时,最中间的两个数的算术平均数为Md。

由频数分布表求中位数,其公式为:

平均数

式中 LM为n/2所在组的下限,n为样本含量,C为n/2所在组上方各组的累计频数,i为组距,fM为n/2所在组的频数。

中位数是位置特征数,它不受特大或特小值影响,常用于表示偏态分布资料的集中性。在医学上,药物的半数效量及半数致死量,就其意义来说就是中位数。

mode

资料中出现频数最多的那个数,记为Mo。在频数分布表中,频数最多一组的组中值可作为众数的估计值。如羊毛纤维检验时所用的主体长度即为众数。当数据资料呈正态分布时,众数、中位数和算术平均数相等。

最小二乘均数