登录| 注册    
收藏  点赞 

世代间隔

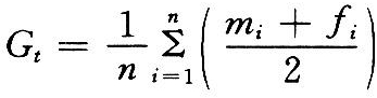
两个相邻世代之间的时间距离,又叫世代间距。在育种中用种畜产仔时的平均年(月、周)龄表示。计算世代间隔的公式是: 世代间隔 式中 Gt为世代间隔;n为产仔次数;mi为第i次产仔时公畜的年龄;fi为第i次产仔时母畜的年龄;Σ为总和符号。在每个世代遗传进展相同的情况下,世代间隔越短

两个相邻世代之间的时间距离,又叫世代间距。在育种中用种畜产仔时的平均年(月、周)龄表示。计算世代间隔的公式是:

世代间隔

式中 Gt为世代间隔;n为产仔次数;mi为第i次产仔时公畜的年龄;fi为第i次产仔时母畜的年龄;Σ为总和符号。在每个世代遗传进展相同的情况下,世代间隔越短,每年的遗传改进量越大(见年遗传改进量)。世代间隔的长短受性成熟期、怀孕期的影响。通过控制配种年(月、周)龄可适当延长或缩短世代间隔。各种畜禽的世代间隔见表。

不同畜种的世代间隔