登录| 注册    
收藏  点赞 

线性模型

反映自变量与依变此结构称为线性统计模型,简称线性模型。其中,Y为一随机变量(依变量)的n次观察值构成的n维向量。X为设计矩阵,由户个变量x1,x2,…,xp(自变量)的n次观察值构成的n×p维向量,β为未知参数向量,e为随机误差向量,通常假设各观测值是相互独立且是同分布的,即e~N(0

反映自变量与依变此结构称为线性统计模型,简称线性模型。其中,Y为一随机变量(依变量)的n次观察值构成的n维向量。X为设计矩阵,由户个变量x1,x2,…,xp(自变量)的n次观察值构成的n×p维向量,β为未知参数向量,e为随机误差向量,通常假设各观测值是相互独立且是同分布的,即e~N(0,σ2I),这里R=σ2I,而σ2也可是未知的,这时它也是模型的未知参数,称为误差方差,此模型称为正态线性模型。

线性模型

一般线性模型有很多不同形式,主要可从以下三个方面分类:①按自变量数目可分为单因子、二因子和多因子模型等;②按自变量性质可分为固定、随机和混合模型等;③按模型功能可分为线性回归、方差分析、协方差分析和方差组分模型等。这些分类只是从一个模型的不同角度考虑来划分的。

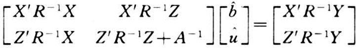
当模型为包含一组固定效应和一组随机效应的混合模型时:Y=Xb+Zu+e。这里,b是未知的所有固定效应的户×1维向量,u是未知的除随机误差外的所有随机效应的q×1维向量;X、Z是由观测资料确定的与固定效应和随机效应相联系的设计矩阵,其他的与上模型相同。对此模型可利用观测值的一个线性函数(L′Y)对固定效应b和随机效应u的任意线性可估函数(K′b+M′u)进行估计和预测,并满足预测无偏性和预测误差方差最小两个条件,由此得出如下的正规最佳线性无偏预测(BLUP)方程:

线性模型

式中 A为随机效应方差协方差矩阵;R为随机误差方差和协方差矩阵。

畜牧业中线性模型常用于研究变量的相关和回归、拟合线性回归方程、对各种影响因素进行方差及协方差分析。特别是在动物遗传育种中,线性模型常用于遗传参数估计、育种值的BLUP估计等。近二十年来对线性模型理论和应用方法的研究取得了许多重要进展,已越来越成为一种重要的研究工具。

(陈瑶生)

对于正态线性模型,若Y的线性函数满足Q=,则称为β的最小二乘估计量,由此得到,即为最小二乘正规方程组。当系数矩阵X′X满秩时得到的唯一解,即=(X′X)-1X′Y。该估计量有以下三个特性:1)为Y的线性组合;2)是β的线性无偏估计量;3)为β的最佳线性无偏估计量。因此,最小二乘估计可提供一个最佳线性无偏估计量(BLUE)。

量间线性关系的数学表达式。设随机变量为Y,可表示为