登录| 注册    
收藏  点赞 

消化试验

评定动物对饲料中的各种养分的可消化程度的研究手段。饲料中所含养分只有经过动物体内的各种酶类水平消化后才有可能参与动物机体内的营养代谢活动。消化了的养分,不一定全部能转化为动物生产所需的营养物质。但是饲料养分的可消化性与其营养价值或生物学效价具有高度相关。为此,迄今许多学者均用消化试验作为评定饲料营养价值手段。试验方法全收粪法经典的消化试验多用此法。

评定动物对饲料中的各种养分的可消化程度的研究手段。饲料中所含养分只有经过动物体内的各种酶类水平消化后才有可能参与动物机体内的营养代谢活动。消化了的养分,不一定全部能转化为动物生产所需的营养物质。但是饲料养分的可消化性与其营养价值或生物学效价具有高度相关。为此,迄今许多学者均用消化试验作为评定饲料营养价值手段。

试验方法

全收粪法

经典的消化试验多用此法。即以食入量为100,以食入量与从粪中排出量之差为可消化量,求消化率。但是在动物粪内除来自饲料的未被消化的物质外,还有一些来自消化道的多余消化酶、肠粘液、细菌及脱落的上皮细胞等。所以通过消化试验所得到的消化率,实际上低于真消化率,习惯上称之为表观消化率(apperant digestibility)。

指示剂法

由于全收粪法耗时费力,从20世纪40年代即不断有人用各种不消化的稳定物质为指示剂,按稳定物质与食入饲料中某养分含量和稳定物质与粪中某养分含量的比例变化计算消化率。迄今曾供用于指示剂的稳定物质有二氧化硅、木质素、氧化铁、氧化钛、三氧化二铬、色母、聚乙烯乙二醇、PEG(polyethylene glycol)、酸不溶灰分。指示剂法对试验动物的选择和试验分期与全收粪法完全相同,只是不必收集其全天排粪量,只需在规定时间采集一定量的粪样即可。待试验结束将所有粪样混合取样测定待测养分及指示剂即可算出。

消化试验

指示剂法虽然比全收粪法有了很大进步,但仍难适应大规模养殖业及饲料工业的需求。

体外法

20世纪70年代前后许多学者转向用体外法,此法又称离体法。测试饲料养分消化率比较成功的体外法有:①小肠液法。视猪小肠液冻干粉为复合消化酶,用以处理饲料,求其消化率的方法。20世纪70年代末期由日本人谷修(Furuya,1979~1989)首倡,分两步处理,第一步用胃蛋白酶的盐酸溶液处理,第二步用猪小肠液的中性溶液处理,视其残渣为不消化物,测其中养分含量或热量,再与生物学法测值回归校正后求养分或总能的消化率。此法亦可适用于猪、鸡等单胃动物。②人工瘤胃法。用模拟反刍动物瘤胃微生态环境的特殊装置,评定饲料营养价值的方法。19世纪泰普宁(Tappeinen,1882)就开始应用人工瘤胃法研究公牛瘤胃细菌对纤维素的消化作用。20世纪中叶许多学者在模拟瘤胃壁的渗透、吸收机制的基础上研制出非透析和半透析两种类型的人工瘤胃系统,以后经过多次改进发展成非透析和半透析两种类型的人工瘤胃系统。70年代,非透析系统在排出培养液、添加基质和调节pH值等技术方面,向自动化发展,同时,人们又在半透析系统上创立了双层连续自动透析技术。人工瘤胃法的基本原理是将饲料样品置38.5~39.5℃的厌氧、pH6.7~7.0条件下,用NaHCO3、NaH2PO4、KCl、CaCl2、NaCl、MgSO4等的水溶物配制成“人工唾液”、瘤胃液处理24小时,再用离心法分离被降解的物质,所剩余残渣即视为不消化物质,通过化验即可求出不消化与已消化的量。人工瘤胃装置,主要由恒温系统、培养系统、pH值缓冲系统、定时搅拌系统和连续充填CO2系统组成。评价人工瘤胃技术的可靠性是用与天然瘤胃内各项参数的吻合度进行判定,即计算纤毛虫和细菌的数量、种类和比例,观察其活力和形态变化;测定纤维素、淀粉和蛋白质消化率及挥发性脂肪酸(VAF)总量变化和各VAF的比例。③尼龙袋法。亦属原位法(in situ)范畴。在牛瘤胃处做人工瘘管,将待测饲料密封于规定密度的尼龙袋中,使之在牛瘤胃内消化后求消化率。是适用于测定牛、羊等反刍动物对饲料养分消化率的一种方法。亦可用于测定饲料蛋白质的降解率。奎因(Quin,1938)等人提出将饲料样品装入天然丝袋,然后通过瘘管置入羊瘤胃中,测定饲料的消化率。奥斯可夫(фrskov,1977~1979)等人改用尼龙袋法评定饲料蛋白质的降解率。方法是将饲料样品装入尼龙袋后扎口,每批置入2~4个尼龙袋并用细尼龙绳系于瘘管盖上。处理时间一般为6~72小时,按不同时间将袋逐个置入,再于同一时间移出,用37~38℃温水漂净,然后求干物质及氮的消失率。计算降解率的公式为:

消化试验

式中 P为经t时间的降解率(降解率变化最大);a为降解曲线在零时间的截距;b为可能的降解率;c为b的速度常数。a+b即趋于最大降解率值,a、b、c可由最小二乘法或作图法估算。此法的优点是简便易行,测定条件符合动物生理的实际情况,并且其结果与体内法有较好的相关。但由于样品未经咀嚼反刍仍有失真处,对测值的应用还需正确对待。

同位素法

利用同位素示踪、同位素稀释、放射免疫分析、活化分析、放射自显影法以及其他核分析技术,研究饲料营养物质的消化、吸收和代谢规律的技术。同位素法有以下优点:①能解决用常规方法难以揭示的动物机体内源性物质周转规律及有关疑难问题;②灵敏度高,最准确的化学分析法,很少能测量皮克(10-12克)水平,而含有极微量同位素82P的物质可以准确测出10飞克(1014)~10-14~10-18;③分辨度高,手续简单。放射性探测器能很容易地发现极其微量的放射性物质,可把放射性标记营养物质与饲料中普通的营养物质区别开来,简化许多复杂的分离及分析手续。

目前,同位素法在饲料营养科学方面主要用于:①机体水分的测定(3H);②食糜流通量测定(103RU和51Cr);③反刍动物瘤胃微生物蛋白测定(95S、15N和32P);④动物体内氮代谢的研究(15N和14C);⑤矿物质内源性物质周转规律研究等。

消化试验的设计

套算法

试验分两期完成。在第一次试验先测基础日粮的消化率,在基础日粮组成中适当加入待测的某种饲料,以使之适应;第二次试验的日粮养分则由80%基础日粮和20%待测饲料组成,待测饲料的消化率依式2算出。

消化试验

式中 AD(%)为待测饲料的某养分表观消化率(%);BR为来自基础日粮的某养分食入量(克);DR为来自待测饲料的某养分食入量(克);FN为排泄物中的某养分总量(克);FN为基础日粮的某养分表观消化率(%)。

联立方程法

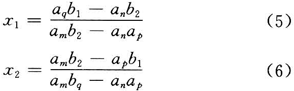
为了克服基础日粮营养水平及内在质量对待测日粮的消化率的影响,在试验设计时增加一组基础日粮与待测日粮配比不同的试验,通过二元一次联立方程求某一待测饲料的某一养分表观消化率。

消化试验

式中 x1为基础日粮某养分的表观消化率;x2为待测日粮某养分的表观消化率;an、am、ap、aq分别为x1、x2与日粮的比例,解法是:

消化试验

插值法

在测定某饲料某养分之前事先进行被测饲料与基础日粮按不同比例组成的混合日粮的代谢试验,以被测饲料在总日粮中所占比例(%)为自变量(x),以不同比例的AME实测值为因变量(y)求出一元回归公式(表1),最后设x=100代入公式:

消化试验

式中 y为某饲料某养分的表观消化率;a为截距;x为被测饲料在总日粮中所占比例。

表1 插值法设计示意表

回归法

以饲料中所含某一对相关的养分为自变量与因变量,将待测某饲料某养分的消化率设定为隶属于该类型饲料成分的回归线上的一个点,作出试验设计(表2),实验室手段,求出自变量,即可由式8算出。

消化试验

表2 用回归法估测某饲料某养分的模式试验设计示例

(卢德勋

王宏 张子仪)