登录| 注册    
收藏  点赞 

性状相关

不同性状间的关连现象或关连程度。质量性状间偶尔也有这种现象,如纯白(俗称洋白)的荣昌猪往往耳聋。但更多的是指数量性状间的关连现象,通常用相关系数表示其相关程度。性状相关一般指数量性状表型值间的相关,即表型相关。以群体的任何两个性状为变量,同一个体该两性状度量值(表型值)配对,利用普通线性相关公式即可计算两性状间的表型相关。必要时也可利用非线性模型计算两性状表型值间的曲线相关。

不同性状间的关连现象或关连程度。质量性状间偶尔也有这种现象,如纯白(俗称洋白)的荣昌猪往往耳聋。但更多的是指数量性状间的关连现象,通常用相关系数表示其相关程度。

性状相关一般指数量性状表型值间的相关,即表型相关。以群体的任何两个性状为变量,同一个体该两性状度量值(表型值)配对,利用普通线性相关公式即可计算两性状间的表型相关。必要时也可利用非线性模型计算两性状表型值间的曲线相关。

性状间有正相关,也有负相关。相关系数呈正值的相关为正相关。正相关的性状在群体中的总趋势是甲高乙高,甲低乙也低,但并不是在每一个体身上都保持两者的正比例。相关系数呈负值的为负相关,负相关性状的协同变异情况与前者相反,例如奶牛的产奶量与乳脂率间呈负相关,即一般说来,产奶量高的奶牛其奶中含脂率较低,但并不是产奶量高的个体其乳脂率必低,两者之间更没有确定的反比关系。

性状间的关系是很复杂的,两性状的相关并不是独立于其他性状而形成和表现的,而是必然受到其他性状影响。例如猪的初情日龄与瘦肉率有一定相关,这主要不是发情这一生理现象本身影响瘦肉率,而是因为发情的早晚与其他生理成熟早晚相关。发情早的体脂沉积也早,同样是90千克体重,早熟品种已处于成熟阶段,而晚熟品种还没有到达脂肪大量沉积的阶段,因此,这时后者的体脂就少,瘦肉率就高。初情日龄这个性状是通过体脂沉积早晚这个性状间接影响瘦肉率的,所以初情日龄与瘦肉率的相关受体脂沉积早晚的影响。为了探索性状间的真实关系,即排除其他性状影响后的关系,可进行性状间的偏相关分析,求得两性状间的偏相关系数(见相关)。

偏相关表明在排除其他性状影响后性状间的相关关系。有时在育种工作中探明各性状对某一主要性状的直接影响的程度要比阐明性状间相关关系更有用,这时就可采用通径分析。通径系数表示在排除其他性状影响下,一个性状对另一个性状单向的直接影响。

性状间的相关可由环境原因造成,如在良好的饲养管理条件下,奶牛的产奶量较高,体重也较大,反之两者都较低,这种由环境条件造成的性状相关称为环境相关〔rE(xy)〕。性状间相关也可由遗传原因造成,或由于“一因多效”,即同一基因可对多个性状产生影响,因而两性状可能有部分制约基因相同而造成一定程度的相关;或由于基因连锁,即两性状的部分制约基因位于同一染色体上而导致性状间相关。由遗传原因造成的性状间相关称为遗传相关〔rA(xy)〕。

遗传相关是数量性状的主要遗传参数之一,即两性状育种值间的相关系数。育种值不能直接度量,因此性状间遗传相关需通过有遗传关系的亲属的表型值来间接估计。目前通常使用的估计方法有两个。一是利用上下代两性状表型值的交叉协方差来估计:

性状相关

式中 rA(xy)为x性状与y性状的遗传相关;c—covxy为x、y两性状的交叉协方差,即亲代x性状与子代y性状的协方差和亲代y性状与子代x性状的协方差的几何均数或算术均数;covop(x)、covop(y)分别为x性状或y性状的亲子协方差。

另一是利用同胞两性状表型值计算得到的组间协方差和组间方差来估计:

性状相关

式中 covB(xy)为以同胞资料分组的x与y性状的组间协方差;σB(x)、σB(y)分别为x或y性状的组间方差的平方根。

由于这两种方法都是通过多个统计量进行间接估计的,因此估计误差较大,需要很大的样本才能得到统计显著的估计值。据推算,至少要有500对亲子资料或6000个半同胞资料才能获得一个中等遗传相关的统计显著估计值,而通常要收集到这样大样本资料是不很容易的。

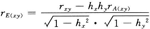
借助遗传力(h2)可将性状间表型相关剖分成遗传相关与环境相关两部分,即

性状相关

因此,性状间环境相关通常都由表型相关和遗传相关来估计:

性状相关

相关性状是选择性状的间接信息来源,但只有遗传相关的性状能为选择性状提供作为间接选择依据的遗传信息。遗传相关是这种信息量大小的标志。利用与选择性状遗传相关愈大的辅助性状进行间接选择,其选择效果就愈好。