登录| 注册    
收藏  点赞 

选择指数

在多性状选挥时,把所要选择的几个性状综合成一个使个体间可以互相比较的数值。根据选择指数进行选种的方法叫指数选择法。选择指数的制订基本原则是通过对可度量性状的选择,使其在遗传上达到最大的经济改进。制订选择指数应具备的参数下列参数为制订选择指数所必备:①各性状的遗传力(h2);②各性状的标准差(σp);③性状间的表型相关系数(rp)

在多性状选挥时,把所要选择的几个性状综合成一个使个体间可以互相比较的数值。根据选择指数进行选种的方法叫指数选择法。

选择指数的制订

基本原则是通过对可度量性状的选择,使其在遗传上达到最大的经济改进。

制订选择指数应具备的参数

下列参数为制订选

择指数所必备:①各性状的遗传力(h2);②各性状的标准差(σp);③性状间的表型相关系数(rp);④性状间的遗传相关系数(rA);⑤各性状的经济加权值。①、②、③、④项参数由现场生产性能记录通过统计分析求得;经济加权值可根据市场价值直接确定,也可根据相关性状间接求得。

选择指数的一般公式

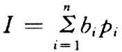
所选择的各性状间互不相关时,用公式:

选择指数

式中 I为选择指数;n为选择性状的个数;ai为第i个性状的经济加权值;为第i个性状的遗传力;户i为第i个性状的表型值;Σ为总和符号。所选择的各性状

间有相关时,用公式:

选择指数

式中 I,n和户i的定义如前;bi为通过选择能使遗传上达到最大经济改进的偏回归系数。用矩阵求解b的公式是:

b=p-1Ga

式中 b为求解的偏回归系数向量;p为表型方差、协方差矩阵;G为遗传方差协方差矩阵;a为经济加权值向量;p-1为p的逆矩阵。表型方差、协方差矩阵中的元素由各性状的标准差和性状间的表型相关提供;遗传方差、协方差矩阵中的元素由各性状的遗传力和性状间的遗传相关提供。

选择指数的几项参数

选择指数是把所要选择的几个数量性状合并成一个指数值,构成了一个新的数量性状。因此可以对指数进行各项育种参数的计算。

选择指数的方差标准差(σI)计算公式是:,式中p、b的定义如前;b′为b的转置矩阵。

指数选择下遗传总改进的方差标准差(σH)计算公式是:,式

中,G、a的定义如前;a′是a的转置矩阵。

选择指数与遗传总改进的相关系数(rHI)计算公式是:

选择指数

式中 σH、σI的定义如前;CoVHI选择指数和遗传总改进的协方差,且CoVHI=b′Ga。

遗传总改进对选择指数的回归系数(bHI)计算公式是:

选择指数

式中和CoVHI的定义如前。

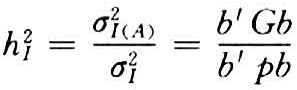
选择指数遗传力计算公式是:

选择指数

式中 b′,b,G,p的定义如前。

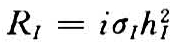
指数选择所期望的总选择反应(RI)计算公式是:

选择指数

式中 i为选择强度,可由留种率查正态分布表得出(见选择强度);σI的定义如前。

指数选择下每个性状期望的选择反应,设第i个性状的育种值为Ai,则在指数选择下该性状的期望反应是:

RAi=RIbAiI

式中 RAi为第i个性状期望的遗传改进;bAiI为Ai选择指数I的回归系数。

其他选择指数形式

以上所制订的是一个使遗传经济改进最大的无约束指数。此外还有约束指数、最宜指数和简易指数等不同指数形式。

约束选择指数

restricted selection index

在多个性状选择时,约束其中一个或几个性状,使其在选择过程中保持不变,而重点提高某个或其他几个性状的一种选择指数。用这一指数进行选种的方法叫约束选择法。约束选择适用于:①有中等程度的负相关性状;②所选择的某个(某些)性状已达到育种目标而其他性状还需要继续提高。

最宜选择指数

optimized selection index

在多个性状选择时,根据约束指数的同样原理,把约束条件改为使性状按一定的比例改进而制订的一种选择指数。用这一指数进行选种的方法叫最宜选择法。最宜选择指数适用于:①控制某一性状的遗传进展为一定值;②控制某一性状与另一性状的遗传进展的比例为一定值;③控制某一性状与指数的总遗传进展的比例为一定值;把某一性状的遗传进展控制在一定范围内,而不是像约束选择中的控制在一个固定值。

简易选择指数

选择指数的简化形式。常用的简易指数公式有以下两个:

选择指数

两式中n为选择性状的个数;ai为第i个性状的经济加权值;为第i个性状的遗传力;pi为第i个性状的表型值;σi为第i个性状的标准差为第i个性状的群体平均数

选择指数应用中的注意点

突出主要经济性状

一个选择指数不应当也不可能包括所有的经济性状。同时选择的性状越多,每个性状的改进越慢。通常以包括2~4个性状为宜。

应是容易度量的性状

不易度量的性状在应用时难以推广。如肉用家畜的增重速度与饲料转化效率都是重要的经济性状,这两者有很高的正相关,但称体重比测定个体家畜的饲料消耗量更容易做到。

尽可能是家畜早期出现的性状

早期选种能缩短世代间隔,提高年遗传改进量。在前期记录与全期记录有高度相关的情况下,可用前期记录作为选种指标。

“向下”选择的性状经济加权用负值

如各种家畜单位产品的饲料消耗量、瘦肉型猪的背膘厚度等,这些性状越低表示生产性能越好。

合并有高度负遗传相关的性状

奶牛的产奶量和乳脂率合并成标准乳;鸡的产蛋数和蛋重合并成产蛋总量。对这些有高度负遗传相关的性状,约束选择的效果也不理想。

综合考虑选择指数的数学含义与生物学含义

一个选择指数是否能在育种实践中应用或应用的效果怎样,不仅要考虑其数学含义而且要考虑生物含义。如通过计算得到对种母牛泌乳性能的选择指数I=1.2M-0.7F,式中,M为产奶量;F为乳脂率。虽然这一指数公式计算无误但在实践中却不能使用,因为公式表示在同样产奶量的情况下,乳脂率越高的牛反而指数值越低。