登录| 注册    
收藏  点赞 

亚麻仁饼

及食用习惯,任其自流。近年来普及纯化种植技术后逐步改观。营养特性 亚麻仁饼亚麻仁饼(粕)的营养成分受残油率壳仁比等原料质量、加工条件、主副产品比例等条件的影响。亚麻饼中粗蛋白质、粗脂肪、粗纤维、无氮浸出物、粗灰分分别约含32%、8%、34%和6%,赖氨酸、含硫氨基酸、色氨酸等的含量与菜籽饼近似。在饼粕类中其蛋白质质量属中下等。

亚麻籽为原料用机榨法或有机溶剂浸提法取油后的副产品。

亚麻属亚麻科一年生草本植物(Linum usitatissimum L.),20世纪90年代初期全世界亚麻籽总产量约为270万吨,加拿大产量最高约占全世界总产量的1/3,依次为阿根廷、印度及中国。中国的总产量约相当于全世界总产量的十分之一,居第四位。按照其用途有纤用型、油用型与兼用型三种。油用型亚麻植株较矮,约高50厘米,工艺长度40厘米,籽粒千粒重8克以上。

亚麻生育期短,适应性强,耐瘠薄、耐寒抗旱,在中国高寒、干旱、无霜期短的地区均可种植,可分成黄土高原区、阴山北部高原区、黄河中下游及河西走廊灌区、北疆内陆灌区、南疆内陆灌区、甘青高原区、东北平原区7个区。

“胡麻籽”是以亚麻籽为主体,混有芸芥籽、臭芥籽、黑芥、油菜籽的油料作物籽实的混合物。混杂的比例因地区条件而异,高者可达50%。一般约为10%左右。混杂的原因是由于产区经济气候条件及食用习惯,任其自流。近年来普及纯化种植技术后逐步改观。

营养特性

亚麻仁饼

亚麻仁饼(粕)的营养成分受残油率壳仁比等原料质量、加工条件、主副产品比例等条件的影响。亚麻饼中粗蛋白质、粗脂肪、粗纤维、无氮浸出物、粗灰分分别约含32%、8%、34%和6%,赖氨酸、含硫氨基酸、色氨酸等的含量与菜籽饼近似。在饼粕类中其蛋白质质量属中下等。

亚麻仁粕

亚麻仁粕与亚麻仁饼的常规营养成分含量除了粗脂肪含量外,没有实质性的差异。残脂量多在2.5%以下,各种氨基酸含量虽然相应地略高于亚麻仁饼,但略次于棉籽饼

胡麻籽饼(粕)

其确切的涵义应该是:在中国西北地区生产的以油用型亚麻籽为主体,混杂有芸芥籽、油菜籽等油料作物籽实为原料,经压榨法或浸提法取油后的饼或粕,情况十分复杂多变。为此,无生成条件描述的所有“胡麻饼”化验值应该都是没有实际意义的。“亚麻仁饼”与“芸芥籽饼”的比例为8∶2,残脂率分别为8%和2%时的胡麻籽饼或胡麻籽粕中分别约含粗蛋白质33%和36%,含粗纤维9%和10%,含粗灰分6%和7%,在实际评定这类饲料营养价值时应按胡麻籽饼(粕)中的亚麻仁纯度及含杂内容,分别化验,实际验算。

求出亚麻仁饼绝干物质中的常规成分百分含量(X1

亚麻仁饼

求出无脂绝干物质中常规成分百分含量(X2

亚麻仁饼

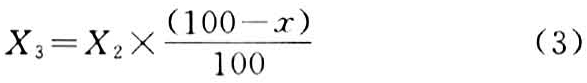
求出绝干物质中残脂率为2.5%的亚麻仁粕中的各种常规成分百分含量(X3

亚麻仁饼

求出88%干物质为基础的残脂含量为x%的常规成分百分含量。

XCP=X3×0.88 XCF=X3×0.88

XNFE=X5×0.88 XACh=X3×0.88

式中 A为原样中常规营养成分百分含量;B为原样中水分百分含量;C为绝干物质中粗脂肪百分含量;x%为设定的亚麻仁粕的典型残脂百分含量、

有毒有害物质

胡麻籽饼(粕)中有时混有少量菜籽或芸芥子,其中均含有硫葡萄糖苷,在芥子酶的作用下也会产生噁唑烷硫酮(OZT)和异硫氰酸酯(ITC)。OZT对动物甲状腺有致肿作用,使分泌失调,代谢紊乱(见菜籽饼),但这类籽实混入的比重多不过20%~30%,若按一般胡麻籽饼(粕)在配合饲料中的配比按20%计则可以不考虑由于OZT及ITC的中毒问题。亚麻饼或胡麻饼主要应考虑氢氰酸(HCN)中毒。亚麻中含有里那苦甙(Linamarin),又称亚麻苦甙,经酶解后会生成氰氢酸。少量的氢氰酸在动物体内可因糖的参与而自行解毒,但当亚麻仁饼用量过大时,也可引起中毒。氢氰酸又与氨基酸代谢有密切关系,在正常的配合饲料中增加与氨基酸代谢有密切关系的吡哆醇(即)的用量,有利于有毒物质从体内排出。一般亚麻仁饼可生成的氰氢酸量约为12毫克/千克,可变动于5~21毫克/千克之间。

质量标准

中华人民共和国行业标准对亚麻仁饼(粕)及胡麻籽饼(粕)分别制定有行业标准。对这四项饲料原料均以粗蛋白质、粗纤维、粗灰分为质量控制指标,按含量分为三级(表)。三项质量指标均按88%干物质为基础计算,必须全部符合相应等级的规定,低于三级为等外品(见表)。

饲料用亚麻仁饼(粕)及胡麻籽饼(粕)的行业标准

中华人民共和国国家标准饲料卫生标准规定:胡麻饼及胡麻粕中的氰化物(以KCN计)允许量为350毫克/千克。