登录| 注册    
收藏  点赞 

优化育种方案

育种方案的数学模型用数学方法定义、描述系统变态的变量,如描述基因传递过程中的繁殖、老化和基因比例的变量;描述育种成效的综合遗传进展、育种产出、育种投入和育种效益等变量以及描述不同繁育体系的变量。在此基础上,还要建立变量间相互关系的数学模型

应用系统工程方法和计算机技术,制定育种方案,使整个群体在一定期间获得最大的遗传进展或最高的经济效益。

育种方案的优化方法是一项涉及多学科的动物育种的专家决策系统,即从育种目标的确定,到最大育种效益最终实现的一组相互关联、前后有序的系统工程。

应用系统科学理论,采用计算机技术,依据群体抽样调查信息,建立育种方案,并经过精密的计算,可推算出育种方案预期可实现的最大经济效益。育种方案的制定应由以下几部分工作组成:

确定育种目标

这是育种规划工作的起点。应用综合育种值作为数量化的育种目标,是一种用经济指标确定育种目标的方法。育种目标从广义上讲是使畜禽生产获得最大的经济效益。因此,原则上凡是对畜禽生产有经济意义的生产性状或与生产有关的次级性状都应包括在综合育种值中,并且相应地根据这些性状的重要性分别进行加权:

AT=W1A1+W2A2+…+WiAi

式中 AT为综合育种值;Ai为性状i的一般育种值;Wi为性状i的经济加权系数。经济加权系数为两个组分之积:

Wi=Vi·ni

式中 Vi为性状i的边际效益;ni为性状i的经过贴现的标准化实现量。

一个性状的边际效益是指当有关性状每超过群体均数一个单位时,边际产出量与边际投入量之差。计算边际效益时,应考虑到未来可实现的生产条件和市场形势。常用的计算方法有:多元回归法、差额法、生产函数法和最优化法。

经贴现的标准化性状实现量考虑了一个性状在预定的投资期内,通过各项育种措施,在育种群和生产群中实现生产性能提高的频率、比例和时间。原则上不同育种措施的经贴现的标准化性状实现量不同的。但在纯种繁育中,除个别例外情况,这种差别是很小的。育种目标应该立足于长远的考虑,并且在育种方案的实施过程中,要随着生产条件和市场需求的改变,不断修定育种目标。

分析现行育种方案

研究分析现行群体的状态,求得一系列在育种方案最优化的模型计算中应用的基本参数。这些基本参数是:群体平均生产性能;数量遗传学参数;生产经济学与市场经济学参数;营养学参数;育种过程中的生物学和育种技术指标;群体结构参数;育种成本及投资参数以及育种值估计时所使用的各种性能记录(信息来源)。

家畜育种中最重要的信息是生产性能记录。因此,要建立信息收集系统,即生产性能的测定系统和数据库,以保证生产性能记录能够完整可靠地传递和便于进一步加工处理。按照育种的特点和要求,编制一套适合于育种规划的多功能数据库是十分必要的。

建立育种方案的数学模型

用数学方法定义、描述系统变态的变量,如描述基因传递过程中的繁殖、老化和基因比例的变量;描述育种成效的综合遗传进展、育种产出、育种投入和育种效益等变量以及描述不同繁育体系的变量。在此基础上,还要建立变量间相互关系的数学模型,如基因流动法(gene flow method)、投入产出分析、综合选择指数等。育种方案计算的基本方法:

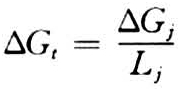
遗传进展

计算公式如下:

优化育种方案

式中 △Gt是遗传进展;△Gj是第j个选择通径(种畜选择组)的遗传优势;Lj是第j个选择通径的世代间隔。△Gj可由以下公式计算:

△Gj=i σAT rATIT

式中 σAT是多性状综合育种值的遗传标准差,rATIT是综合育种值与综合选择指数间的相关系数;i是选择强度

育种投入产出与育种效益

根据计量经济学原理,应用投入产出分析法计算育种经济指标。

育种产出量

用基因流动法(矩阵形式)计算:

优化育种方案

式中

E为育种产出量;△Gij是育种群中第j个选择通径在i性状上的遗传优势;nij是第j个选择通径在i性状上的标准化实现值;Vi是包括在综合育种值中的i生产性状的边际效益;R是综合育种值中考虑的生产性状个数;L是育种群中考虑的选择通径个数;Σ为总和符号。计算nij的公式是:

优化育种方案

式中 hi是性状i的实现向量;mjt是选择通径j的基因在t时,全群各性别年龄组中分布比例的状态向量;r是预算利率;D是规划投资期;t是投资期内的第t年度。计算mjt的公式是:

mjt=Rjat-1+Pmj(t-1)

式中 Rj是第j个选择通径的繁殖矩阵;at是各选择通径在t时的年龄向量;P是基因传递矩阵。

育种投入量

可分为固定育种费用与可变育种费用两部分。像计算育种产出量那样,对不同时间发生的各育种投入组分需分别进行贴现,以便在同一水平上进行计算比较。

育种效益

作为优化育种方案的标准,它要比遗传进展更有说服力。育种效应应等于经贴现后的育种产出量与育种投入量之差。

育种方案模型计算

是不断发展和改进现有育种方案的手段。根据群体的现状和发展趋势,针对育种方案的教学模型中作用于各变量中的主要因素,如群体结构(群体规模、主动育种材料的比例、测检比例、测验公畜数量等),分别给出最低到最高限的不同变异水平,并对多个因素的不同水平组合分别进行模型计算,用计算结果预测育种方案的发展趋势,找出影响育种效益的主要因素,并研究如何把这些因素作为制定育种方案的杠杆,控制整个育种过程朝着最终能获得最大育种效益的育种目标发展。

新育种方案的选择与实施

经过以上工作,实际上是把一个庞大而复杂的育种系统通过相应软件的设计,输入到计算机里,计算机作为一个“育种实验室”,通过程序的运行,完成一次次的多个育种方案的多个世代的“育种试验”。依据这个结果来确定最优化的育种方案,并且在实施中再作进一步的完善。

上述育种方案的内容是有前后顺序的,但各部分工作相互交错,难以划出一个清晰的界限,然而,可将整个过程分成不同的阶段。育种方案的制定与实施应以一定的育种规划组织为保证,育种目标的确定则是育种方案计算工作的基础。就育种方案的制定而言,其程序可简述为:①首先进行“形势分析”,即预测未来畜牧生产发展的可能性;②其次在此基础上进行“对比研究”,主要任务是寻找可供选择的多个育种方案或单项育种措施,并确定哪些方案在下阶段可以考虑;③再其次通过系统模型计算进行“效应分析”,既估计出多性状综合选择的遗传进展和单性状的遗传进展,又估计出各育种方案或措施将能实现的育种产出、育种投入和育种效益;④最后是对各方案进行定量性的“评价”,即根据各方案的预期效果,综合地考虑遗传育种与经济两方面的效应,对可供选择的各育种方案进行比较,同时对各育种措施的可行性进行评定。