登录| 注册    
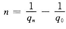
收藏  点赞 

主基因选择

对具有显著表型效应的基因的选择。相对于对微效多基因的选择,主基因又称宏效基因,由于表型效应显著,通常指控制质量性状的基因,其表型效应呈不连续分布,且很少受环境影响。控制数量性状的基因,通常认为是微效多基因,但近些年发现

对具有显著表型效应的基因的选择。相对于对微效多基因的选择,主基因又称宏效基因,由于表型效应显著,通常指控制质量性状的基因,其表型效应呈不连续分布,且很少受环境影响。控制数量性状的基因,通常认为是微效多基因,但近些年发现,有些数量性状也由一个或几个主基因在众多的基因中起着决定性作用。例如多产性(产仔数)是一个数量性状,但澳大利亚研究人员发现一种布鲁拉美利奴羊的产羔数特别高,后经严格的杂交试验证明,这种多产性决定于一对主基因,称为布鲁拉(BooRooLA)基因,即F基因,它是一种显性基因,基因型为FF时,产羔数平均达3.7只,基因型为Ff时,产羔数平均为2.2只,而基因型为ff(不含布鲁拉基因的普通羊群)时,产羔数平均只有1.2只。类似的现象在其他畜群中也有。例如,夏洛来牛的高产肉率是由于存在双肌(double-muscling)基因。具有氟烷敏感基因的猪往往表现出应激综合症(PSS)和肉质低劣(PSE)。具有裸颈(naked-neck)基因是家禽有最好的耐热性。即使控制质量性状毛色的基因,也有主次之分,如已知控制猪的毛色至少有5个位点基因,其中控制色素形成的基因起着主效作用。显然,基因与基因间、基因与性状间存在着极其复杂的关系,主基因广泛参与了动物质量性状数量性状乃至行为、生理特性的形成。

主基因有显隐性之分,由于对显性基因、隐性基因及其杂合子的选择效应不同,应采取不同的选择方法。有一些主基因表现为不完全显性,此时因为基因型与表现型一致,群体表型频率也就是基因型频率,故通过表型即可选出不同的基因型。

对主基因的选择效应决定于基因的性质与淘汰率。

对隐性基因的选择

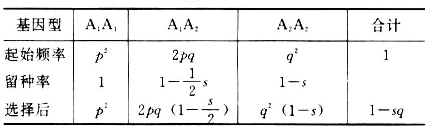
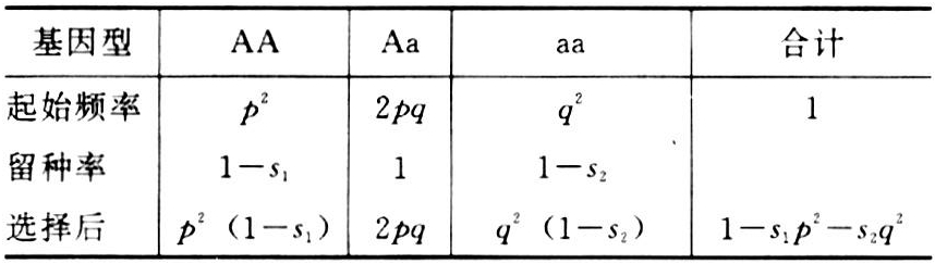
设某一对性状,基因型为AA、Aa、aa,A对a完全显性,AA和Aa表型相同,都表现显性性状,起始群体的基因频率为D=p2,H=2pq,R=q2,淘汰率为s,留种率为1-s,则可得表1。

表1 对隐性基因的选择

下一代的基因频率,即选择后的基因频率

主基因选择

若s=1,则

主基因选择

s=0,则

主基因选择

这表明当对显性个体的淘汰率为100%时,只要没有突变,且基因的外显率为100%时,下一代的隐性基因率就可到达1。当淘汰率为0时,下一代基因频率依然不变。可见,选择隐性基因,淘汰显性个体是比较容易收效的。当然,如果对显性个体淘汰不完全,那么后代中仍含有显性个体。

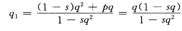
对显性基因的选择

由于显性完全,AA与Aa具有相同的留种率,于是选择后各种基因型频率见表2。

表2 对显性基因的选择

选择后的隐性基因频率

主基因选择

基因频率的改变量为:

主基因选择

若aa全部淘汰,即s=1,则:

主基因选择

类推:

主基因选择

上式可改写为:

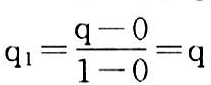
主基因选择

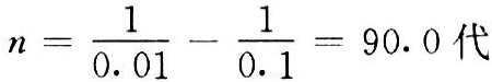
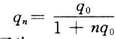
n为需要选择的代数。例如,群体中某隐性基因频率现为0.1,若淘汰全部隐性纯合子,令隐性基因频率降至0.01,则需要的代数为:

主基因选择

可见,要想从畜群中彻底清除隐性基因,采用表型选择淘汰隐性个体的速度极慢,而采用基因型选择法,即除了淘汰隐性个体外,还应通过测交淘汰携带隐性基因的杂合子。

对杂合子的选择

杂合子有时表现出超显性,它比任何一种纯合子都好,有时则因两种纯合子都不理想,而杂合子能满足需要。例如,卡拉库尔羊中银灰色羔皮较为名贵,银灰与黑色主要受一对基因影响,银灰为显性,但银灰纯合子致死,仅杂合子能成活,所以要生产银灰色羔皮,只能代代选择杂合子。

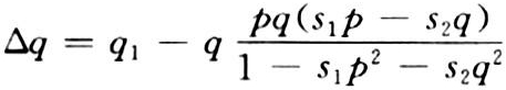
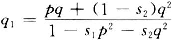
在此种情况下,显性纯合子与隐性纯合子可能具有不同的适应性,设AA的淘汰率为s1,aa的淘汰率为s2,于是后代各种基因型频率见表3。

表3 对杂合子的选择

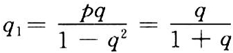
下一代隐性基因频率

主基因选择

基因频率的改变量为:

主基因选择

上式可以看出,△q随s1p大或小于s2q而增加或减少。当s1户=s2q时,△q=0,群体处于平衡状态。解这个方程,得到的平衡值为:

主基因选择

由此可见,平衡值与起始群体基因频率无关,而完全决定于对纯合子的淘汰率。当两纯合子全部淘汰,即s1=s2=1,则p=q=0.5,H=2pq=0.5。例如,在卡拉库尔羊中选择银灰羔留种,黑色羔全部淘汰,银灰纯合子也都致死,这样,无论其起始基因频率如何,下一代的基因频率户=q=0.5,如果每代都这样选,则每代可得到50%银灰色羔羊,另50%中一半是致死银灰色纯合子,一半为黑色羔羊,故银灰与黑色羔羊之比为2∶1。

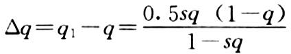
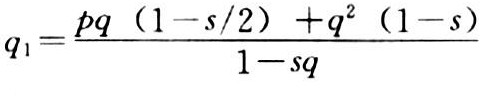
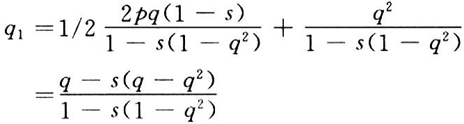
不完全显性时的选择

设A1与A2为不完全显性(无显性),且选择对A2不利,此时下一代的基因型频率见表4。

表4 不完全显性时的选择

下一代的基因频率

主基因选择

基因频率的改变量为:

主基因选择

如果进行相反方向的选择,即选择对A1不利,此时只要把两个等位基因的初始频率互易,把q写作户即可。

例如,在短角中淘汰白毛个体,淘汰率为20%,即s=0.2,设起始基因频率户=q=0.5,则下一代的白毛基因频率为q1=0.472,并有以下关系:

如果 q=0 0.2 0.5 0.8 0.9 1

则有 △q=0 0.0170.028 0.0190.011 0

可见,在对不完全显性基因作不完全选择时,除q=0或1外,△q均不等于0,说明除非起始基因频率为0与1外,基因频率是不会达平衡状态的。