登录| 注册    
收藏  点赞 

蚕杂合体的固定

Y:为黄茧基因Ⅰ:为黄茧抑制基因i:为非黄茧抑制基因 蚕杂合体的固定 依上列型式杂交,顺次编号,将NO、1……30浸酸,分别饲育,或将NO:11~30先行一蛾饲育,调查茧色。若NO、1~10的10组中,某组合的雌与雄双方,在两个回交黄茧种次代组合中,均不分离黄茧,则该组合即系纯粹的显性白茧Ⅱyy×Ⅱyy组合。采用这个组合,即已固定了显性白茧性状。

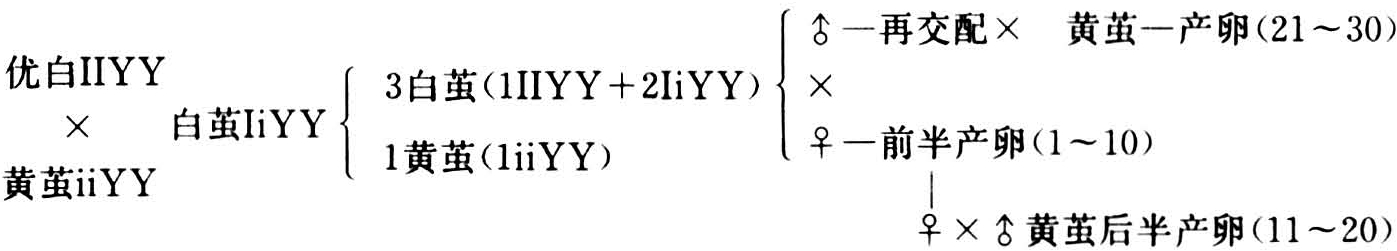
在桑蚕品种杂交中,利用遗传学技术在后代稳定其目的性状的方法。不同品种杂交后,表现隐性性状的个体是纯合体,后代不分离,但显性个体包括纯合体和杂合体,外表上难以区别,象桑蚕这样雌雄异体的生物,在后代的显性性状个体中,往往分离出隐性个体,这种情况习惯称做不固定,要使显性基因支配的性状纯合化,方法虽多,但以比较简捷快速的再交配固定法为最好。例如:显性白茧种与黄茧种杂交的F1为白色茧,F2分离出的白茧与黄茧成3∶1。将此F2分离出的白茧雌雄,互交10组,交配时间,在30分钟以内,能达到受精目的,即可拆对产卵。此10组之卵,编号为1、2、3、……10组。待它们产卵到半数,将雌蛾分别再回交黄茧种雄蛾。此次交配时间愈长愈好,以后拆对产卵,依次编号为11、12、……20。再将直系F2白茧种最初杂交10组的雄蛾,也分别回交黄茧种雌蛾,其产卵依次编号21、22、……30,其杂交方式及基因型,如次表所示:

设Y:为黄茧基因

Ⅰ:为黄茧抑制基因

i:为非黄茧抑制基因

蚕杂合体的固定

依上列型式杂交,顺次编号,将NO、1……30浸酸,分别饲育,或将NO:11~30先行一蛾饲育,调查茧色。若NO、1~10的10组中,某组合的雌与雄双方,在两个回交黄茧种次代组合中,均不分离黄茧,则该组合即系纯粹的显性白茧Ⅱyy×Ⅱyy组合。采用这个组合,即已固定了显性白茧性状。如果回交黄茧种的雄蛾,在斑纹茧形等方面具一显性性状,则较易判断它与产卵雌蛾再交配是否确实产生了效果。这样固定两对基因的显性性状,时间只要两代,蛾区数只要饲养30蛾,就能得到显性基因的纯合体。