登录| 注册    
收藏  点赞 

病害流行监测

对病害流行实况进行全面、持续、定性和定量的观测记载,简称监测。目的在于掌握病害流行及其影响因素的动态变化,为生产上提供病害预测和防治决策的可靠依据,为科学研究提供流行规律和预测方法的研究资料。将病害防治看成是系统管理,在一定的防治目标下,防治决策是管理的核心,预测是决策的基础,实况监测是预测和决策的依据。没有大量合格的数据资料,预测方法的研制和防治决策研究均无从下手。

对病害流行实况进行全面、持续、定性和定量的观测记载,简称监测。目的在于掌握病害流行及其影响因素的动态变化,为生产上提供病害预测和防治决策的可靠依据,为科学研究提供流行规律和预测方法的研究资料。将病害防治看成是系统管理,在一定的防治目标下,防治决策是管理的核心,预测是决策的基础,实况监测是预测和决策的依据。没有大量合格的数据资料,预测方法的研制和防治决策研究均无从下手。农田生态系统及其植物病害系统仍在不断演化,流行规律认识的深化和预测方法的提高需要坚持病害监测工作。监测的内容包括病情(病害数量或程度)监测、病原物发育进度和种群数量监测、病原物生理小种监测、传病介体监测、作物监测和环境监测。监测的方法因内容项目而异,但共同要求是保证准确,力求简便。有些特殊项目需要专门的技术和仪器设备。

病害流行监测与系统观察的区别

系统观察是针对固定田地或其样点每隔一定日数进行一次发病数量或密度的调查,掌握病害数量因时而变的动态,其对象往往限于某一种病害或病害本身。目前病害系统观察已成为农田有害生物(病、虫、草、鼠)“系统监测”的一个重要组成部分。监测是以几种主要病害的系统调查为中心,同时对有关气象因素、栽培条件、寄主状况进行全面的系统调查,还要取得与本地病害流行有关的外地病害信息。对有些病害还要增设项目,例如对存在有生理小种的病原物须了解其小种组成,对虫传病毒病害需调查传毒介体的种群动态和带毒率,针对某些农药还要进行病菌抗药性的监测,等等。总之,对“病害系统”的组分同步进行全面持续的调查,监测的对象是整个“病害系统”,而并非某种病害病情的时序数据。所以,“系统监测”中的“系统”不是通常用语“系统调查”中一般含义,而是系统科学的科学术语“系统”所具的含义。这种系统监测,获得的信息才能满足预测和决策的需要。

服务于生产和服务于研究的监测,基本原则和内容是一致的,但具体作法和要求有所不同。服务于生产的,要简便实用,只要能满足当地当时预测决策所需,项目不宜过多、作法力避繁难;服务于研究的,项目需全面细致,数据质量要求较高,以利于深化规律认识提高预测方法。需力求作法经济可行,以最少的人力物力取得最多的信息。两者绝不可割裂,力求结合起来,尽可能作到一举两得、同一数据可两用,或求同存异而信息能相互转换。不论为生产服务还是为研究服务,系统监测工作必须持久稳定,包括组织、制度和技术方法的相对稳定。与气象工作系统一样,没有长期、大量、规格一致的可靠数据资料,要认清规律和提高预测水平是不可想象的。监测工作在起步阶段,甚少效益,但坚持越久,它的作用会越大。从发展看,农田有害生物系统监测将逐步发展到气象观测工作那样的高度。

病情监测

指病情(病害发生程度或数量)的定期连续调查。每次调查进行病情估计,或针对一定面积进行目测估计,或通过抽样,计数,对整体进行估计。病情估计是流行学研究的基石,没有病情定量方法和数据,就没有定量流行学,也就难以进行病害预测、品种抗病性鉴定、药效测定和防治效果测定。

病情估计

流行学中既重要又很难作好的工作之一。病情通常用病害的普遍率、严重度和病情指数表达。普遍率是发病的植物体单元数占植物体单元调查总数的百分率。植物体单元可以是植株、茎、叶、果、穗等,相应的普遍率实为病株率、病茎率、病叶率、病果率、病穗率等。普遍率说明病害发生的普遍程度。严重度是发病的植物单元上发病面积或体积占该单元总面积或总体积的百分率,说明病害发生的严重程度。普遍率和严重度结合,全面说明病害发生的程度。病情指数是上述两者的乘积,或各级严重度的加权平均。实际是植物群体(包括发病的和无病的)的平均严重度。病情指数一般计算方法如下:

当严重度为一个平均值时,普遍率和严重度取值形式均为0.00~1.00的小数:

DI(病情指数)=I(普遍率)·S(严重度)

当分别调查各单元严重度级值时,严重度用级值0、1、2、3…整数,普遍率仍用小数:

病害流行监测

上式中,Xi为各级严重度的调查单元数,ai为各级级值,amax为最高级值。

(计算时百分数均化作小数,0-1)

严重度分级

因病害类型有所不同。局部病害以受害器官为调查单元,最常见的叶斑病类以叶片为调查单元,每叶按其上病斑面积占叶片总面积的百分数分级,如麦类锈病的0、1、2.5、5、10、25、40、65、100%。系统病害或虽为局部病害而以单株为调查单元时,按全株症状严重度分成几级,分别赋以级值a=0、1、2、3…amax,共分几级依病害种类和工作需要而异,一般分成4~6级。近年来,为便于利用计算机数据存储和加工,不论调查单元是叶、果、枝,还是全株,严重度一概分为9级,加上无病的、由轻到重给以0、1、2、3、4…9十个级值。为统一标准、便于信息交流,对许多常见病害逐步形成一些严重度分级的标准图谱。在有些病害中病斑可以密集连片,严重度可以真正达到100%,而有些病害如小麦叶锈病则百分制严重度的给定数值往往大于其真值,其严重度分级图谱上标为100%的病叶,其孢子堆面积总和不过占叶片面积的37%(Madden,1991)。因为每个孢子堆四周占有一圈不产孢的面积,即使病害严重到极点也不会叶片全面布满孢子堆。严重度如何分级、分几级,要根据病情数据的用途兼顾合理性和实用性,既要保证必要的精确度又要易于迅速目测定级。分级过少过粗则结果不够精确,过多过细,则级差很小,不易迅速目测定级。调查数据如仅用于比较病情轻重或分析病情发展,在严重度较高的范围中不必分级过细,特别是多循环、局部病害其病情发展是对数级数、而不是算术等差级数发展的。但如果关键期(指对损失估计而言)病情数据将用于损失估计,则病情分级需兼顾病情级别和损失程度大体吻合,力求两者间呈一定函数关系。此外,严重度分级还要大体符合人的目测敏感度的差别。

韦伯-费赫纳定律

Weber-Fechner law

关于目测敏感度的定律。霍斯福尔和巴拉特(Horsfall and Barrat,1945)指出,严重度分级应当按照韦伯-费赫纳定律制定。该定律指出:在目测中,肉眼对讯号刺激的敏感度与刺激强度的对数成正比。由于人们在病组织占全面积的50%以下时注意的是病组织,而在50%以上时注意的是健康组织。因此,在50%以下的严重度应分为25%,12%,6%,3%等几级,而50%以上则分为75%、88%、94%、97%几级。这种分法有人称之为HB system。HB系统的前半段恰好吻合病害的指数增长,而后半段又近似病害增长的自我抑制现象。因此,当用于研究病害数量增长时,HB系统是合理易行的。如用于损失估计,最高两级无需分得过细,因为严重度为94%或97%的产量损失无甚差别。

普遍率和严重度的关系

是具实用意义的问题。在田间调查中,普遍率轻易调查,误差较小,严重度较难调查,误差较大。在一定条件下,普遍率和严重度之间存在一定关系。大多数叶斑病,单个病斑发病后面积扩展有限,普遍率和严重度主要由侵染位点数量决定,在流行前期和中期、普遍率接近饱和前,普遍率I和严重度S之间呈正函关系,简称I-S关系。可以简化田间调查,只调查普遍率,然后根据普遍率推算严重度。卡姆贝尔等(Campbell et al.,1990)提出如下三种情况下的理论通式:

当普遍率很低时,病斑分布为随机分布(卜哇生分布),则

病害流行监测

式中:M为植物调查单元上可能发生病斑数的极大值。

当普遍率较高时,病斑可能呈二项式分布,病斑常集团产生,则

病害流行监测

式中:b为每一病斑集团的病斑数除以每植物调查单元可能发生的病斑数的极大值。

如病斑呈负二项式分布,则:

病害流行监测

上式中,M的定义同(1)式,k为负二项式的聚集度参数。

上列三式中的M、k、b参量取值均因病害种类而异,需通过多年多点的实地调查而测定。也可以在大量实测值的统计基础上求出经验式的预测式。但不论用理论式还是经验式,当普遍率接近饱和时,不能再从普遍率推算严重度。

病原物监测

对病原物发育进度和数量发展的定期连续调查。预测预报中需要监测病原物的发育进度,如子囊壳成熟进度可以作为小麦赤霉病、梨黑星病等病害中短期预测的依据。更重要的是病原物的种群数量。病原物种群数量的估测技术难度颇大。除线虫、高等寄生植物外,病毒、细菌体形微小无法目测,真菌群体的“个体”计数单元也无从划定,虽然菌核和孢子可以计数而菌丝体的生物量和繁殖潜能却难以测定。在多数情况下,一定空间范围内病原物群体的绝对量,包括生物量和个体数量,是无法测定和难以估计的,即便理论上可以想出方法,在实际上不能实行。实际上是对传播体的相对数量的变化进行监测,用于对病害流行系统作不同时空条件下的比较,或用作特定条件下病原物群体绝对数量的一个代表值。空中孢子捕捉和土壤带菌量测定等都属于这种性质。

空中孢子密度和土壤病原物的定量定测

气传病害流行始期或其以前空中孢子密度是预测预报的重要依据。孢子捕捉方法有多种:最简单的如凡士林玻片法或培养基平面法以承接空中沉降的孢子;还有旋转胶棒孢子捕捉器(rotor-rod sampler)等。土壤病原物传播体能目测或镜检计数的,如菌核、线虫、真菌孢子等,可取土样直接计数;不能直接计数的,需选用选择性培养基进行定量分离(见传播体)。

菌量

泛指一定时间空间内病原物群体的数量,在一定场合下用一定的量纲,如空中孢子密度、土壤中菌核或线虫密度等。但在病害流行学研究中,为减免病原物数量测定的繁难,常用病害数量即病情代表“菌量”。但代表性有很大局限,因为能测计的病害数量只是已发病的,而潜育状态的那一部分病害不多或很多,是无法目测的。以小麦条锈病为例,流行条件适合时,潜育量可达发病量的几十上百倍。

病原物生理小种的监测

对病原物致病性分化及其变异的监测,是病原物监测的更深入细致的一步。生理小种分化明显的病原物需进行小种监测。首先需要建立一套稳定而统一(至少全国统一)的小种鉴定技术,包括鉴别寄主、鉴定方法、小种分类定名法,然后选定若干代表性流行地区,按照一定的取样方法和数量,对标样在同一地点进行统一鉴定,逐年持续不断,取得各年度各地区各小种分布频率及其年度间消长的数据。对进行新小种流行预测、指导抗病育种和按排品种合理布局很有作用。有些病菌新小种产生得很快,小种鉴定技术不断改进或发展,如鉴别寄主增加,使以前的某一个小种后来分成多个小种,从而给小种监测数据资料的分析利用带来困难,需要深入研究。

病原物抗药性的监测

一个地区推广一种杀菌剂、特别选择性杀菌剂之后,需要每年从施药田间采取病原物代表性标样,测定其对该药剂的50%有效浓度(EC50)逐年增长情况或抗药性水平的发展情况。如抗药性有明显发展迹象,需及时采取药剂轮换、混用、或其它对策。

传毒介体的监测

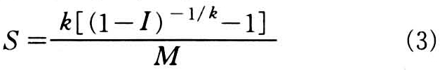
除了种群数量的监测外还需进行介体带毒率的测定,绝大多数传播病毒的介体都是昆虫,对许多病毒病的预测预报是很必要的。测定带毒率有生物测定法和血清学方法。前法需要有防虫温室设备,要培育指示植物的无毒苗,然后采集介体昆虫活虫,单虫或定量虫数接种无毒苗。发病后,按发病株率推算介体带毒率或传毒概率。此法较为费工,要相当时间后才能得出结果。血清学方法如酶联免疫法(ELISA)等,只要技术体系成熟、设备齐全,可以快速准确地得出定量结果。而且,死虫活虫都可用于测定。不论生物测定还是血清学测定,当带介体毒率很低时,都可用若干个虫合为一组,按组进行测定。单虫传毒概率p计算公式如下:

p=1-(1-I)1/k

式中,I为生测中植株发病率或血清阳性反应百分率,k为每组虫数即每株植物接种虫数或血清学测定每一样本虫数。假设每株接三虫(k=3),共接20株,有12株发病,即I=0.6,

则p=1-(1-0.6)1/3=0.26,即单虫传毒概率为0.26。

上述公式是根据统计学中二项式分布导出的,计算出的p值虽常略有偏差,但当k≤5且p<0.1时偏差不大。

作物观测

作物品种对特定病虫害的抗性程度,在选用品种时已经知道,由于病菌、害虫生理小种的变化、以及栽培管理、气候条件的影响,其抗性表现发生变化,在病虫害发生期需注意观察。作物生育阶段不同,对病虫害的生理抗性或诱集力不同。生育阶段的分期,多种作物各有其统一标准,监测时按标准图谱作代码记录。作物群体结构和密度随生育进度而发展,小气候亦因之而有阶段变化,影响病虫害的发生发展。常用的观测项目是叶数和叶面积系数,进行细致研究和打基础时须要每隔定期取样调查茎数、叶数、叶长、叶宽,甚至使用叶面积仪等仪器测定样本单叶面积。在常规预测预报服务的系统监测中,可根据所种作物在当地生育进度和叶面积系数曲线的研究结果或多年经验,进行有限次数和有限数量样本的调查,加以推算估计。

遥感遥测在大面积的作物受害损失估计上有很大应用前景。主要感测的是作物群体结构密度、长势、枝叶组织细胞的某些生理状况、特别是叶色,然后推算估计作物的受害程度、甚至病虫害大体数量。需要事先在若干可比的田块上分别测准其不同受害程度和病虫害数量,对这些地块进行遥测,作出标准图象和图象数据化处理,然后对待测的田地进行测定。建立这种方法,成本高,一旦技术成熟后,可在短时间内监测大面积的情况,得出可比性强的数据资料,平均每公顷花费并不大。

环境监测

对一固定地区,其固有的地形、地势、土质、地下水、排灌等情况均可一次记载备查。大气候气象数据需不断由当地气象部门取得。系统监测本身主要致力于小气候观测。一般的农田小气候观测方法和仪器已有不少研究,可详见有关专书。专门用于植物病害流行观测的,在Campbell and Madden(1990)一书的第4章中论述清楚,对用于害虫也可参考。其中,叶面露量和叶面湿时的测定是对病害预测所特需的,现已有商品化的电子仪器用于小气候温湿度传感和自动连续记录,还有电子预测器的专用仪器,能测定田间小气候并显示出某种病害的预报和防治建议,如苹果黑星病预测器(Apple Scab Predictor)。这类仪器在产值高的菜地果园首先得到应用。

生物学环境因素中,需考虑的是对本地有影响的外地菌源数量。对远程气传的病害,各有关地区的病害监测工作必需密切联系,建立区域联防。