登录| 注册    
收藏  点赞 

病害梯度

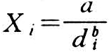
病害传播所致子代病害数量(或密度)随着与菌源中心距离的增加而递减的现象;即病害密度随空间位置而变化。又称传播梯度(gradient of spread)或侵染梯度(infection gradient)。在菌源中心处病害密度最大,距离愈远,密度愈小。可用各种数学公式描述,常用的病害梯度模型为: 病害梯度 式中,d,为离开菌源中心的距离,可选取任何长度单位。

病害传播所致子代病害数量(或密度)随着与菌源中心距离的增加而递减的现象;即病害密度随空间位置而变化。又称传播梯度(gradient of spread)或侵染梯度(infection gradient)。在菌源中心处病害密度最大,距离愈远,密度愈小。可用各种数学公式描述,常用的病害梯度模型为:

病害梯度

式中,d,为离开菌源中心的距离,可选取任何长度单位。规定菌源中心处的数值为1,即d i≥1;b为梯降系数,可以根据在同一方向不同距离实际调查病害数据,用最小二乘法推算。它的大小受病害种类、传播动力、侵染条件等因素的影响,也与采用的距离单位大小有关,在同样情况下,距离单位愈小,b值愈小;Xi是距离中心点di的病情(病害密度)。当di=1即菌源中心点,用公式推算出的病情(X)一定等于a。所以,a为菌源中心点的子代病情。单向传播的梯度模型可以用图1的曲线表示。由单向传播梯度模型扩展,为多方向的病害空间分布模型即形成曲面或锥体模型。当病原物传播体放散的一段时间内风向风速不断变化时,新生病害可能呈圆形(图2)、椭圆形(图3)或不规则的分布,其中锥体体积代表病害数量,平面图中的各圈曲线为病害等密度曲线。由此类模型可以预测病害分布范围和传播距离

图1 单向传播梯度模型(0曲线

图2 圆形传播病害密度分布示意图

图3 不等半径传播病害密度分布示意图

寄主个体感病性和生态环境比较均一时,田间出现病害梯度,说明附近存在着菌源中心。由本地菌源引起的病害流行,愈是早期,尤以一代传播后的梯度最明显。当病害传播受到大风、旋风或湍流影响时,梯度不十分规律;菌源量大,病害比较严重时(如病情大于20%),梯度会变小。推算梯降系数时需将病情数据进行重叠侵染转换。