登录| 注册    
收藏  点赞 

重叠侵染

……n次侵染的概率符合泊松分布,即: 重叠侵染 式中:m为寄主的单个位点遭受侵染次数的平均值。遭受“0”次侵染的位点的比例为exp(-m)。受到一次或一次以上侵染的位点,也就是发病位点所占的比例则为1-exp(-m),恰好等于实际发病位点所占比例(y

寄主可供侵染的一个位点上同时或先后遭受不止一次侵染,最终只能造成一个发病位点的现象。在群体水平的表现是:在一定的群体上,由于可供侵染的位点是有限的,随着接种量不断加大,相应发病点数的增长率逐渐减小,直至趋近于零。接种量(或接种密度)—发病数量曲线斜率逐渐变小,直至变为水平状态。这种现象不仅发生在气传病害上,土传病害中也有报道。

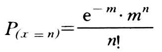
1948年格雷戈里(P.H.Gregory)认为寄主位点遭受0,1,2,……n次侵染的概率符合泊松分布,即:

重叠侵染

式中:m为寄主的单个位点遭受侵染次数的平均值。遭受“0”次侵染的位点的比例为exp(-m)。受到一次或一次以上侵染的位点,也就是发病位点所占的比例则为1-exp(-m),恰好等于实际发病位点所占比例(y,0≤y≤1)。由此推导出重叠侵染转换公式:

m=-ln(1-y)

公式成立的前提假设是:寄主可供侵染的位点是有限的并且所有位点的感病性是一致的;病原物传播体着落和侵染某一位点是完全随机的。这时,在直角坐标系上经过重叠侵染转换的病情(m)与接种体数量呈直线关系。如果在高接种量时有上升趋势,可能有协生作用;如果在高接种量时出现下降趋势则有颉颃作用。实际在自然情况下不完全如此,例如以叶片为位点,不同发育年龄或处于不同空间位置的叶片的感病性和受到侵染的机会有所不同。在计算侵染机率和积年流行病害的年增长率时均应对原始病情数据进行重叠侵染转换。