登录| 注册    
收藏  点赞 

传播速度

单位时间内病害传播的距离。时间单位可以是日、周或月,也可以是一个潜育期的天数(p)。若时间单位采用日,传播速度等于逐日的一次传播距离的增量的日平均值,设RD为日平均传播速度,Ddi为第1天实现的一次传播距离则 传播速度 若时间单位采用一个潜育期的天数p,传播速度等于连续几代的一代传播距离的平均值,设RDp为n代平均传播速度,DPi为第i代的一代传播距离

单位时间内病害传播的距离。时间单位可以是日、周或月,也可以是一个潜育期的天数(p)。若时间单位采用日,传播速度等于逐日的一次传播距离的增量的日平均值,设RD为日平均传播速度,Ddi为第1天实现的一次传播距离

传播速度

若时间单位采用一个潜育期的天数p,传播速度等于连续几代的一代传播距离的平均值,设RDp为n代平均传播速度,DPi为第i代的一代传播距离,则

传播速度

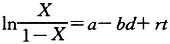
病害流行速度的定量研究,已经在病害流行过程中的时间动态和空间动态结合的研究水平上起步。病害流行过程中,当传播条件(气流、风速、寄主植物密度……)相同时,流行速度(平均日增长率)愈高,传播距离愈大,传播速度就愈快;传播速度愈快,空间传播范围愈大,流行速度的潜能发挥也就愈大。这是流行过程中的二个侧面,二者相辅相成决定了病害的扩展蔓延。这方面较有成效的研究报道有:1983年杰格(M.J.Jeger)利用微分方程推导出的8个时空一体的模型,仅举其中一个为例如下:

传播速度

式中X为病情,a为菌源中心点病情,b为梯度系数,d为距离,r为流行速率。此式适用于多循环病害。另外1983年迈诺奇(K.P.Minogue)提出根据传播速度、传播梯度、产孢率、潜育期、传染期相结合的传播梯度依流行速度和传播速度而变的公式:v=r/g。式中:g相当于梯度模型,中的梯降系数b,定义为病情逻值对距离的回归式斜率;r为表观侵染速率,即病情逻值对时间的回归式斜率;v为传播速度,指病害在单位时间内的向前扩展的速度,即梯度线向前平移的速度,其量纲为距离(m)/时间(日)。