登录| 注册    
收藏  点赞 

理查兹方程

参数;m为斜率参数,其值可以从0到无限大。当m=0时,模型可转化为指数模型,当m=2时,则转化为逻辑斯蒂模型(见逻辑斯蒂模型),而m接近1时可转化变为冈伯茨模型(见冈伯茨方程)。因此,这是一个可塑性很强的模型(见图)。该模型的积分形式为: 理查兹方程 其线性方程为: 理查兹方程 常数B也随m值而变。当m<1时,B=1-y0(1-…,当m>1时,B=y0(1-m)-1,式中,y0为y的初始值。

描述生物种群消长的数学模型。范·伯塔兰菲(L.Von Ber-talanffy,1938,1957)最早提出动物体重的变化与合成和分解代谢速率成比例,在种群y<1/e时用这些过程的速率描述。理查兹(F.J.Richards,1959)将范·伯塔兰菲模型推衍为生长速度或瞬时速率即dy/dt随t而变的曲线,提出以下形式的可塑性生长模型:

dy/dt=rRy(1-ym-1)/(m-1)

式中,rR为速率参数;m为斜率参数,其值可以从0到无限大。当m=0时,模型可转化为指数模型,当m=2时,则转化为逻辑斯蒂模型(见逻辑斯蒂模型),而m接近1时可转化变为冈伯茨模型(见冈伯茨方程)。因此,这是一个可塑性很强的模型(见图)。该模型的积分形式为:

理查兹方程

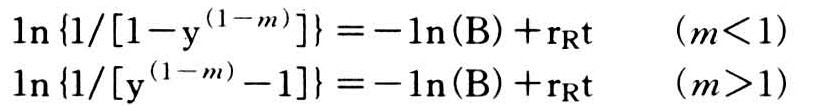
其线性方程为:

理查兹方程

常数B也随m值而变。当m<1时,B=1-y0(1-…,当m>1时,B=y0(1-m)-1,式中,y0为y的初始值。本模型具有很好的适应性,可以用于植物病害流行动态描述。但由于m值不好确定,其实用性不如逻辑斯蒂模型或冈伯茨模型。(肖悦岩)

理查兹模型曲线