登录| 注册    
收藏  点赞 

侵染速率

病害在单位时间内所增(减)的比率,又称病害流行速率。它是流行学的重要速率,有多种表达形式,包括表观侵染速率、基本侵染速率和矫正侵染速率。表观侵染速率(apparent infection rate)以肉眼可见的症状为标准,将寄主分为病(已经显现症状)、健(尚未显现症状)的两部分。当单年流行病害处在季节流行初期,病情(X)≤0.

病害在单位时间内所增(减)的比率,又称病害流行速率。它是流行学的重要速率,有多种表达形式,包括表观侵染速率、基本侵染速率和矫正侵染速率。

表观侵染速率(apparent infection rate)以肉眼可见的症状为标准,将寄主分为病(已经显现症状)、健(尚未显现症状)的两部分。当单年流行病害处在季节流行初期,病情(X)≤0.05时,或假设有无限大的空间可供病害发展时,病害增长只与病部数量和速率有关,即dXt/dt=rl·Xt,某一时刻病情与时间的关系通常呈指数模型形式:

Xt=X0·exp(rl·t)

式中,Xt为t时刻的病情,X0为初始病情,rl为指数侵染速率(exponential infection rate)。在病害季节流行中期,通常病情(Xt)在0.05至0.95之间时,由于可供侵染的寄主位点逐渐减少,肉眼可见的病害增长不仅受病害数量(Xt)的影响,而且受健部(1-Xt)数量的限制,所以dXt/dt=r·Xt·(1-Xt)。病害增长通常呈逻辑斯蒂模型形式:

侵染速率

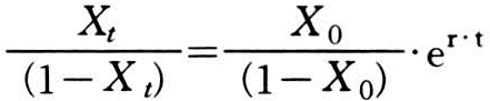
式中,r为逻辑斯蒂侵染速率(logistic infection rate),通常也简称表观侵染速率。在实际工作中,如果已经知道前后两期病情(X1、X2),可以通过下式推算r值:

侵染速率

测定中,两次调查时间间隔应该大于病害的一个潜育期,连续多期的侵染速率通过加权平均可以推算总合的侵染速率。

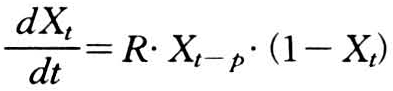
由于病害具有潜育期p,肉眼未见症状的寄主又可分为未受侵染的和虽然已受侵染但尚处于潜育阶段的两部分,可供侵染的部分仍为未受侵染的寄主(1-Xt),而起传播侵染作用的是已经显症的部分(Xt-p)。按此考虑,侵染速率公式应该改写为:

侵染速率

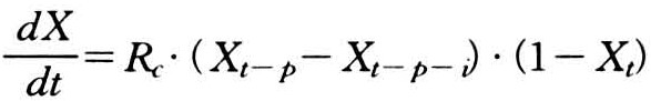
式中,R为基本侵染速率(basic infection rate)。如果进一步细分析,显症部分(Xt-p)还可分成具有传染能力的和已经丧失传染力即报废部分(Xt-户-i),i为传染期真正起传病作用的部分应该是(Xt-户-Xt-p-i),侵染速率公式又可以得到进一步矫正:

侵染速率

式中,Rc为矫正侵染速率(corrected infection rate)。在上述三种侵染速率中,表观侵染速率易于实际测算和直接应用,但比较粗放。后两种特别是矫正侵染速率更为合理,它符合系统分析将寄主的位点分为健康位点、潜育位点、传染位点和报废位点,但是实际调查中很难区分健康位点和潜育位点、传染位点和报废位点。因此,只有通过系统模拟来计算。或者说后两个公式更多地用于理论分析和解释。