登录| 注册    
收藏  点赞 

损失估计

所造成的经济损失,所以,广义的损失还包括以下类型: 损失估计 涉及防治费用、防治效果和防治决策的损失则较为复杂。扎多克斯(J.C.Zadoks,1979)进行了分析(图1)。迄今为止,损失估计主要研究作物产量的损失。仅在少数果树、蔬菜上开展了品质损失的研究,但实用成功的报道不多。损失测算常用的损失测定方法分个体水平和群体水平两大类。

估计栽培植物因有害生物(包括病原物)为害所造成的产品产量和(或)质量或经济上的损失程度的活动和结果。包括定性定量的分析以及对作物损失的测算。是制定防治指标,进行防治决策和系统管理的重要依据。

损失的概念

损失(loss)包括生物学和经济学两方面含义。狭义的损失指可达到的产量与受到有害生物为害后的实际产量之间的差值(联合国粮农组织FAO),也称作物损失。由于研究和防治植物病害的最终目的在于减少植物病害所造成的经济损失,所以,广义的损失还包括以下类型:

损失估计

涉及防治费用、防治效果和防治决策的损失则较为复杂。扎多克斯(J.C.Zadoks,1979)进行了分析(图1)。

迄今为止,损失估计主要研究作物产量的损失。仅在少数果树、蔬菜上开展了品质损失的研究,但实用成功的报道不多。

损失测算

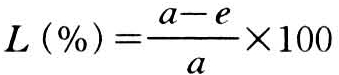
常用的损失测定方法分个体水平和群体水平两大类。个体水平测定比较简单,只要在同块田内选择发病级别不同的个体,分类挂牌测产,就可以用以下公式计算损失率(L):

损失估计

式中:a为健株平均产量;e为各级病株平均产量。群体水平测定则采用人工诱发和化学控制的方法在田间制造流行速率和发病程度不同的小区,系统调查各小区病情并分区测产。损失率计算公式为L(%)=(无病区产量—病区产量)÷无病区产量×100。在单株调查的基础上也可以用加权平均法推算群体产量损失。

除了上述对损失的“评价”、量化之外,在某种场合则是“推算”、“预测”的意思。它主要研究病害普遍率、严重度与作物损失程度的关系。这种关系大体可分为敏感型、耐害型和超补偿型等三种类型(图2)。敏感型多见于为害期较晚或直接损害结实或收获器官的病害,作物损失与病情之间呈正相关,在二者的直角座标图上形成过原点或接近原点的直线或曲线。耐害型指的是低病情并不导致损失,只有当病害密度大到一定值以后才出现损失。这里,造成作物产量或质量损失的最低有害生物种群密度被称为“作物损失阈值”或“阈值病情”(L.V.Madden,1981)、“病害阈值”(J.C.Zadoks,1979)。出现耐害型的原因是大多数作物都有一定的补偿能力或耐害性。作物补偿能力表现在时间维上中后期生长对前期所受损害的补偿;空间维上个体不同器官之间或植株不同部位之间的补偿以及群体水平上不同个体之间的补偿。超补偿多见于具有自然的或生理的落花、落叶或落果习性的作物上。少量病害如能加快作物自身调节过程,减少养分损耗,则这种低于作物损失阈值的病害不仅不造成减产,反而增加了产量,这就是超补偿型。在果树、棉花等作物上可以找到很多事例。

损失估计模型

1961年塔默斯(P.M.Tammes)提出产量与逆境因素(stress)之间的理论关系。他强调这种理论关系的特点应该包括作物损失阈值、损失最高限和损失与逆境之间的正相关关系(病情处于作物损失阈值和达到损失最高限之间)。1981年马登(L.V.Madden).根据上述理论,提出一个广适于各种逆境因素的可塑性综合模型:

Li=1-exp(-((Xi-d)/b)s)+ui

式中:Li为相对于逆境因素X的i水平的损失率;Xi为逆境因素值,如病害普遍率、严重度或病情指数;d是模型的定位参数,即作物损失阈值;b为比例参数,曲线斜率;s为形状参数;ui为随机误差。除此之外,常用于损失估计的还有以下几种回归模型:①单点模型(CP模型),以某一关键生育期的病情为自变量;②多点模型(MP模型),以多个生育期的病情为自变量;③病害流行曲线下面积模型(AUDPC模型)以病害流行曲线下面积为自变量。上述三种模型都仅仅依据病情来推算产量损失。④多维模型,考虑到影响作物产量损失的多种因素,如不同肥力和管理水平、品种、发病始期等等,组建多元方程式。为了反映作物受害的动态过程及各种因素综合作用机理和结果,应该根据系统分析原理和方法组建系统模拟模型。这种机理模型涉及病害生理和损失生理,尽管建模繁难,但有利于深刻认识损失的本质,今后会得到不断的发展。

图1 产量的不同水平和损失(仿Zadoks,1979)

图2 作物损失与病情的关系