登录| 注册    
收藏  点赞 

弥散

水溶液在土壤中流动时,由于局部流速不同,使流入液中的溶质逐渐混入或分散到原先的溶液中去的过程。又称为机械弥散。它是土壤溶质运移的主要过程之一。根据普肃叶(Poiseuille)定律,圆形毛细管中运动着的溶液发生层流,管子里溶液的流速v随管子中心径向距离r的增大而降低: 弥散 式中:为平均流速,R为管子半径。 土壤孔隙分布的不均匀

水溶液在土壤中流动时,由于局部流速不同,使流入液中的溶质逐渐混入或分散到原先的溶液中去的过程。又称为机械弥散。它是土壤溶质运移的主要过程之一。

根据普肃叶(Poiseuille)定律,圆形毛细管中运动着的溶液发生层流,管子里溶液的流速v随管子中心径向距离r的增大而降低:

弥散

式中:为平均流速,R为管子半径。

土壤孔隙分布的不均匀,也是造成和加剧弥散作用的重要原因。根据普肃叶流量公式

弥散

式中:Q为流量,L为流动距离,△P/L为水压梯度,η为粘滞系数。可见流量与管子半径的四次方成正比,孔隙的微小变化,将导致流速的很大不同,而土壤中孔隙大小的差异可达几个数量级。此外,土壤水分饱和度和浓度梯度等因素也对弥散作用有重要影响。

土壤中溶液流速足够大时,弥散作用将大大超过溶质的扩散,而当溶液接近静止时,则弥散作用也趋于消失。

弥散和扩散的机理不同,但由弥散引起的溶质通量密度Jh可类似地表达为

弥散

式中:Dh(v)为弥散系数,它是流速v的函数。已经证明,弥散系数Dh与平均流速之间存在着一定程度的线性关系,即

弥散

式中:a为经验常数。

由于溶质扩散和弥散的数学表达式相似,而且土壤中两者总是同时发生和难以区分的,因此,通常把扩散系数和弥散系数合并,称为扩散—弥散系数Dsh,它是土壤含水量和平均流速的函数,即

弥散

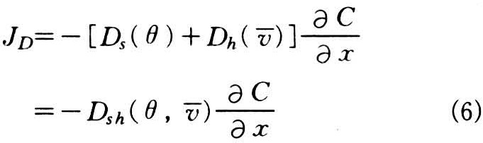
相应地,将扩散作用和弥散作用综合,称为溶质的水动力弥散(hydrodynamic dispersion),而由其引起在厚度为x的土体中的溶质通量密度JD可表示为

弥散