登录| 注册    
收藏  点赞 

土壤溶质运移基本方程

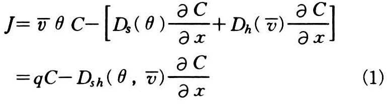
综合考虑质流、扩散和弥散等过程的土壤溶质运移总通量密度(J)。其方程表达式如下: 土壤溶质运移基本方程 式中:Jc、Jd和Jh分别为质流、扩散和弥散通量密度,为土壤溶液平均流速;θ为土壤容积含水量;C为溶质浓度;Ds(θ)为溶质在土壤中的扩散系数;Dh()为溶质在土壤中的弥散系数;为土壤溶液中溶质的浓度梯度;为土壤溶质的扩散—弥散系数;q为土壤溶液的通量密度。

综合考虑质流、扩散和弥散等过程的土壤溶质运移总通量密度(J)。其方程表达式如下:

土壤溶质运移基本方程

式中:Jc、Jd和Jh分别为质流、扩散和弥散通量密度,土壤溶液平均流速;θ为土壤容积含水量;C为溶质浓度;Ds(θ)为溶质在土壤中的扩散系数;Dh)为溶质在土壤中的弥散系数;土壤溶液中溶质的浓度梯度;为土壤溶质的扩散—弥散系数;q为土壤溶液的通量密度。此式仅描述了稳态过程(不随时间变化),同时还假定没有发生固相与液相之间的化学和生物学反应。

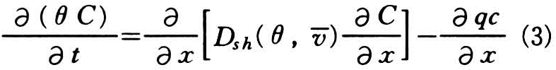
土壤溶质运移通常与时间有关(即瞬变状态过程)。根据质量守恒定律,单元土体中溶质质量的变化率应等于流入和流出该单元土体的通量之差,即

土壤溶质运移基本方程

联立式(1)和式(2)即可得出一维的土壤溶质运移基本方程:

土壤溶质运移基本方程

土壤溶质运移基本方程

式(3)和式(4)中,右边第一项为水动力弥散项,第二项为质流项。在上述基本方程中,同样未考虑土壤固液相之间的化学和生物学反应,因此又称为溶质运移的质流—弥散型方程。

当溶液处于稳定流的特定条件下,水流通量密度q、含水率θ、孔隙平均流速以及扩散—弥散系数Dsh均为常数,则(4)式可简化为

土壤溶质运移基本方程

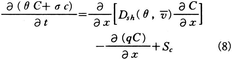
考虑发生在土壤中的某些生物学反应,可能会生成一些溶质,或使某些溶质消失(如有机质矿化产生盐类,植物吸收使某些盐类消失等),则可在基本方程(3)中加上一个复合的源汇项Sc,即

土壤溶质运移基本方程

式中:Sc包括了所有n个可能的源Si和m个可能的汇Sj的净总和,也就是

土壤溶质运移基本方程

进一步考虑单元土体内发生各类化学反应,表现为溶质在土体的固—液相之间进行相态转换(但并未发生溶质在单元土体的产生和消失),则称单元土体内存在着溶质的动态存储。以σc表示单元土体内液相以外溶质质量的存储量,∂σc/∂t为其变化率,则溶质运移的基本方程可改写为

土壤溶质运移基本方程

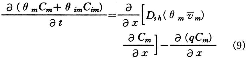
此外,若考虑到土壤死孔隙中非流动区的溶质运移时,(3)式又可改写为

土壤溶质运移基本方程

式中:下标m和im分别表示流动区域和非流动区域。

更进一步地,若考虑平面或立体空间的土壤溶质运移时,可参照一维基本方程式(3),导出二维或三维的质流—弥散型溶质运移基本方程,但此时应注意土壤性质的各向异性可能造成不同方向上水动力弥散系数的差异。

综上所述,溶质运移的数学方程式十分复杂,即使是一维的质流—弥散型方程也难以求得解析解。故一般都用数值方法由计算机求得近似解,而解得的结果,大多数还只能用以描述可控条件下实验室土柱中的溶质运移状况,与田间实际尚有一定的距离。