登录| 注册    
收藏  点赞 

环境水力学

速分布不均匀,采用一维或二维方法处理流动时,在给定方向上点的时均速度与空间平均的时均流速之差所引起的。离散作用比紊动扩散大得多,分子扩散更是可以忽略。对于象管道、窄河渠那样通常以污染物质沿纵向离散为主要研究对象的问题

研究污染物质在水体中扩散与输移规律的科学。随着工农业生产的发展,环境保护问题越来越突出,是在20世纪50年代后才迅速发展起来的一门新兴科学。

水环境中污染物的来源种类很多,水环境的含义也比较广泛,包括河流,湖泊、水库、港湾、海洋以及地下水等各种水域。目前的研究工作,一方面是按污染物质的特点,建立各自的水质分析模型,另一方面是根据不同水域的特点分别进行研究。

污染物和水环境的相互作用是非常复杂的,其中包括物理、化学以及生物学等过程。一般都从最简单的情况出发,先研究能完全溶解于水中而且不发生化学与生物学作用的保守物质的情况。复杂些的则考虑流体密度变化的影响,如热污染的散布,海水与淡水的掺混,以及浮悬物质的冲刷与淤积一类同样性质的问题。更复杂的则除考虑物理作用以外,还计入其它作用过程对水环境中污染物质扩散输移与降解的影响。而详细研究各种作用过程及其对水质的影响,则是一个跨学科的问题,也有人把它称为水质动力学。

污水泄入接受水域后的散布,一般分为近区和远区来研究,近区的研究和排污口的设计有关。远区主要研究污染影响的程度和范围。

对于近区,主要是射流掺混问题。由于排泄的水体和接受水体的密度多不相等,要求同时考虑动量和浮力的作用,即所谓浮射流。从实用考虑常常将流体质量守恒、动量守恒、污染物含量守恒等写成积分形式,采用断面上运动要素分布存在相似性的假设,以及射流侧边卷吸能力的假定。根据实验资料确定断面上分布的某种模式和某种卷吸函数来进行分析计算。

对于远区,出口动量已不起主导作用,主要是扩散和离散(亦称弥散)问题,常可简化为一个源未考虑。扩散包括分子扩散和紊动扩散。在静止的液体或层流中,溶解物质只有分子扩散,这是由于水分子的布郎运动所引起的,采用菲克扩散定律来描述。紊动扩散是由于紊流中的涡旋运动所引起的,用类比于菲克扩散定律的欧拉法和基于统计理论分析的拉格朗日法来描述。离散是由于剪切流动中流速分布不均匀,采用一维或二维方法处理流动时,在给定方向上点的时均速度与空间平均的时均流速之差所引起的。离散作用比紊动扩散大得多,分子扩散更是可以忽略。对于象管道、窄河渠那样通常以污染物质沿纵向离散为主要研究对象的问题,用断面平均值表示的一维剪切流动的纵向移流(亦称平流)离散方程为:

环境水力学

式中 V、C分别为断面平均流速和平均浓度;DL为离散作用为主也包括扩散作用在内的一维纵向混合系数(亦称纵向离散系数),其单位为米2/秒。

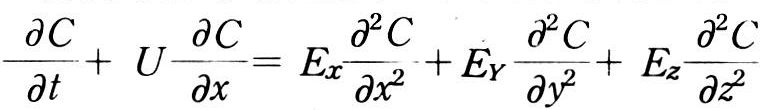
X方向等速均匀紊流的三维紊动扩散方程为

环境水力学

式中 U为点的时均流速;Ex、Ey、Ez分别为x、y、z三个方向的扩散系数,单位为米2/秒;U为移流项;方程右端分别为三个方向的扩散项。

液体中分子扩散规律是1855年菲克提出来的,20世纪50年代泰勒(G.I.Taylor)、贝切勒(G.K.Bat-chelor)以及埃尔德(T.W.Elder)等提出了离散理论,后来阿里斯(R.Aris)提出了浓度矩的方法,将泰勒分析离散的方法普遍化,20世纪60年代费希尔(H.B.Fischer)等人推广至天然河渠的离散计算,并研究了由于横向剪切产生的离散,认为在天然河道和港湾中,它比垂向剪切作用更重要。以后对二维离散问题也做了很多工作。菲克型扩散理论用欧拉法描述流动,应用很广较为方便,但理论本身很少深入流动的内部机理,因而其关键性的系数只能靠实测资料确定。紊动扩散的另一重要理论是泰勒在20世纪20年代提出的,后来为贝切勒等发展完善的连续运动扩散理论,它是用拉格郎日法描述流动,经分析推导它可从理论上说明常系数的菲克型扩散方程的适用范围,并对中等时间阶段得出扩散系数和扩散质团尺度的4/3次方成比例的结果。

由于水域的不同污染扩散与输移的特点也不同,河流中污染物质的迁移,在远区主要由河道流动的特性所决定。在河口及港湾内,污染物质的混合大体上受三方面的作用:一是上游河水(淡水)的注入;二是潮汐的涨落;三是风力的作用。在这些因素的综合作用下,水流会出现不同的流动形态。河口、海洋、水库及湖泊中,一个重要的特点是水体的分层结构(包括部分分层结构),以及在风力及温差作用下水体的垂向混合。地下水污染则更为复杂,原因是受污染水体是在不均匀的、构造复杂的孔隙介质中流动,连续介质中的扩散模型不能直接套用,尽管目前也有几何模型及统计模型等,但还不够成熟。

当注入水中的是非保守物质时,物质质量平衡方程中除移流及扩散项外,还需要计入化学,生物化学以及其它物理化学过程所引起的物质的增加和减小。对一维问题上述的方程变为

环境水力学

称为水质方程。式中B及D分别表示单位时间内单位体积物质的发生及消失的速度。物质类型不同,水质指标不同,B及D的具体含意也不同。

由于实际水环境中的流动情况及边界条件常常是非常复杂的,除少数简单情况能直接求解析解外,多数情况都要用数值法求解。