登录| 注册    
收藏  点赞 

水的基本力学性质

在水力学研究中,把液体视为易流动的、不可压缩的和各向同性的连续介质。水在静止或运动时具有影响其状态的自身内在属性。基本力学性质如下:惯性 物体具有保持原有运动状态的性质叫做惯性,它的量度是质量。工程界习惯上将液体在外力作用下为保持原有运动状态而具有的作用力叫做惯性力。根据国际单位制(SI)的规定,质量的单位用千克(kg),力的单位用牛顿(N)。液体单位体积所具有的质量叫做密度,用符号ρ表示。

水力学研究中,把液体视为易流动的、不可压缩的和各向同性的连续介质。水在静止或运动时具有影响其状态的自身内在属性。基本力学性质如下:

惯性 物体具有保持原有运动状态的性质叫做惯性,它的量度是质量。工程界习惯上将液体在外力作用下为保持原有运动状态而具有的作用力叫做惯性力。根据国际单位制(SI)的规定,质量的单位用千克(kg),力的单位用牛顿(N)。

液体单位体积所具有的质量叫做密度,用符号ρ表示。对于一质量为M,体积为V的均质液体,其密度为:

水的基本力学性质

密度的单位用千克/米3(kg/m3)。

在一般情况下,液体的密度随压强和温度而变化,但这种变化很小,所以密度通常可以看作是常数。水的密度,按在一个大气压强下温度为4℃时的纯水密度来计算,等于1000千克/米3

万有引力特性 两物体间,由于物体具有质量而产生相互吸引的性质,叫做万有引力特性。在液体运动中一般只需考虑地球对液体的引力,重力(重量)用G来表示。设液体的质量为M,重力加速度为g,则重力为:

水的基本力学性质

单位体积所具有的重量叫做重度或称容重、重率,用符号γ表示。对于均质液体,设其体积为V,重量为G,则:

水的基本力学性质

g的数值在地球上不同位置而略有差异,在中国可以采用g=9.80米/秒2。液体的重度,随压强和温度也略有变化,但也因变化很小,一般可当做常数。水的重度,常按9800牛/米3计算。

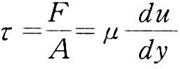
粘滞性 液体虽然静止时不能承受剪切力,但在运动状态下就具有抵抗剪切变形的能力,叫做粘滞性。在剪切变形过程中,液体质点之间存在着相对运动,使液体内部出现成对的内摩擦力(切力)并因克服内摩擦力而损失机械能量。

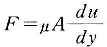
图1 边壁附近流速分布

由牛顿在1686年根据试验提出的液体内摩擦定律,叫做牛顿定律。它指出在液体的二维平行直线运动中,速度u的方向为x,垂直x的方向为y(见图1)。流层间的内摩擦力F的大小与液体的性质有关,并与流速梯度和接触面积A成正比,而与接触面上的压力无关。即:

水的基本力学性质

式中μ为比例系数,叫做粘滞系数或动力(绝对)粘滞系数,其单位用牛·秒-1·米-2,即帕秒(Pa·)或千克·米-1·秒-1

单位面积上的内摩擦力,(粘滞切应力)为:

水的基本力学性质

切应力都是成对出现的,数值相等,方向相反。流速梯度实际上是代表液体质点的剪切变形(或称角变形)速度。温度是影响μ的主要因素,温度升高则使水的μ值降低。液体粘滞性的大小还可以用运动粘滞系数γ来代表,其单位用米2/秒(m2/s)或厘米2/秒。

符合上述内摩擦定律的液体叫做牛顿流体,水及一般的液体均属于此类流体;不符合上述规律的液体则属于非牛顿流体,如泥浆、血浆、油漆等。

压缩性 液体压缩性的大小,一般是用体积压缩系数β来表示,即液体体积的相对压缩值与液体压强的增值dp之比。由于体积随压强的增大而减小,所以

水的基本力学性质

单位用牛/米2。工程界常用K,即β的倒数来表示,K叫做体积弹性系数。

同一液体的βK值也随温度和压强而变化,但由于变化不大,一般可看作是常数,如水可以认为是不可压缩的,其值可采用2.1×109牛/米2。但水在压强变化过程非常迅速的运动现象中,如水电站的高压管道中,就要考虑其压缩性。

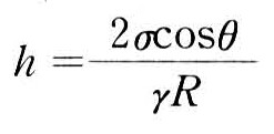
表面张力特性 当液体由于表面两侧分子引力的不平衡,便在表面上作用着尽量缩小其表面的力,叫做表面张力。它产生在液体和气体相接触的自由表面上,或者与固体或与另一种液体相接触的表面上。

表面张力的大小,可用表面单位长度上所受张力、即表面张力系数σ来表示,其单位用牛/米。

图2 表面张力

在一般情况下,表面张力系数σ值不大,可以忽略不计,但当表面为曲面并且曲率半径很小,以致引起液体相当大的附加压强时,如水在土壤及岩石中的毛细现象、微小水滴的形成等,则不可忽略。如图2所示的细圆管,其毛细管高度

水的基本力学性质

式中θ为水面与管中心线形成的接触角。

水力学中,惯性、万有引力特性和粘滞性均较重要,它们往往对水流运动起着决定性的作用。压缩性及表面张力特性,只有在某些特殊情况下,才要加以考虑。