登录| 注册    
收藏  点赞 

选种

利用作物中存在的自然变异,通过选择纯化及比较鉴定获得新品种的一种育种途径。选种方法主要有混合选择和单株选择两大类,其他选种方法都是由这两类衍生而来。一般将选种作为一种育种途径,与引种、杂交育种等相区别;而“选择”则是各种育种途径都必须采用的一种方法和手段。简史人类开始从事农业活动,就同时进行了野生植物的驯化选择过程。

利用作物中存在的自然变异,通过选择纯化及比较鉴定获得新品种的一种育种途径。选种方法主要有混合选择和单株选择两大类,其他选种方法都是由这两类衍生而来。一般将选种作为一种育种途径,与引种、杂交育种等相区别;而“选择”则是各种育种途径都必须采用的一种方法和手段。

简史

人类开始从事农业活动,就同时进行了野生植物的驯化选择过程。约在公元前四五千年人类就开始无意识的选择,但对选留的植株没有具体的要求,后来逐渐发展为有意识的选择。中国关于选种的记载可以追溯到两千年前,如汉代的《氾胜之书》区种瓠法中记述了选留种株、种果的重要性。北魏贾思勰的《齐民要术》(6世纪30年代成书)中记载了瓜类留种法与后代种性的关系。欧洲有意识的选择约始于16世纪,19世纪20年代,利明(J.L.Leaming)和维尔莫林(A.L.de Vilmorin)最早采用混合选择法。其后维尔莫林又率先采用了后代测验法。胡萝卜、美洲防风、萝卜等的野生种的选择驯化成功和“男爵”、“红纹白”等有名马铃薯品种的问世,都是历史上选种的重要成果。中国在20世纪50年代以后选出金早生结球甘蓝、大锉菜一号大白菜、新宁一号黄瓜、武魁一号番茄和十月红菜薹等,都是通过选种获得的一些优良品种。

选种方法

选择是选种的基本方法。选择分为自然选择和人工选择。作为选种和育种的手段,主要是用人工选择。自然选择是自然环境条件对生物的选择作用。人工选择是通过一定的程序,将符合选种目标的植株选出,使其遗传性渐趋稳定,形成新品种。人工选择的方向有时和自然选择一致,有时则不一致。在后一种情况下,人工选择稍一放松,性状就可能变劣。各种蔬菜由于开花授粉习性不同,应当采用的选择方法也有差异。对于自花授粉蔬菜,一般采用单株选择法。对于异花授粉蔬菜为减少隔离授粉的麻烦,避免出现自交衰退现象,宜采用混合选择法。

混合选择法

根据植株表现的性状,从原始群体中选择符合选种目标的优良单株、单果混合留种,下一代播种在混选区里,与标准品种和原始群体进行比较鉴定。所以混合选择又称表型选择法。根据选择的次数可分为一次混合选择法和多次混合选择法。一次混合选择法只起到筛选的作用,它对数量性状的选择效果不能超过入选单株的平均数与原始群体平均数的差,对有利性状不能起累积作用。多次混合选择法是在第一次混合选择的种子田里,继续选择优良的单株或单果留种,混合播种;如此进行多次,使性状趋于一致,产量或其他方面超过标准种。每次选择的单株或单果混合播种时,最好与原始群体和标准品种相邻种植以便进行比较,但也可以连续几代单独播种混选群体,最后再与原始群体和标准种进行比较,以决定是否有推广,价值。混合选择法的优点是简单易行,不会引起生活力的衰退。缺点是不能依据后代的表现,对亲本每个单株进行遗传性优劣的鉴定,选择效果较差。混合选择多用于良种繁育及地方品种的提纯和防止混杂退化等。

集团选择法

根据原始群体内植株不同的特征特性,将选出性状相似的单株归并到一起,形成几个集团。组成每一集团的单株混合采种,任其相互授粉,而集团间则应予以隔离,防止杂交。不同集团收获的种子分别播种在一个小区内,以便在集团间和标准品种间进行比较鉴定,选出优良的集团。集团选择法的优点是纯度的提高比混合选择快,后代生活力不易衰退。缺点是纯化速度比单株选择慢,为了防止集团间的杂交需要隔离设施。如为了从一个蔬菜原始群体中,同时选出几个不同优良品种或品系时,可采用此法。

单株选择法

又称系谱选择法。依据选择的次数,可分为一次单株选择和多次单株选择。一次单株选择法:从原始群体中选出优良单株分别编号采种,下一代分株系播种在选种试验圃内,每一株系种一小区,通常隔5个或10个株系设一对照区。根据表现,淘汰不良株系,从当选株系内选择优良单株混合采种。下一代根据选留株系的多少,决定是否需要再次进行扩大小区面积的比较淘汰。如经一次株系比较选留的株系已不多,即可进行品种比较试验,选出优良品种,进行生产试验。此法主要适用于自交蔬菜选种,也可在常异花授粉蔬菜上应用。多次单株选择法(系谱选择法):在第一次株系比较后选留的株系内继续选择单株,分别编号采种,重复进行多次的单株选择。选择的次数取决于株系内株间的一致性。如经一次单株选择后多数株系还不一致,或不一致的株系虽不多,但其中有突出的优良单株,应继续进行单株选择,直到大多数株系达到一致为止。单株选择的优点是可以测定所选单株后代遗传性的优劣,消除环境饰变引起的株选误差,从而能正确地选出具有优良性状的株系,选择效果好。在选种过程中如能防止株系间的互相杂交,则性状稳定较快。多次单株选择可以定向积累变异,因此有可能选出超过原始群体最优单株的新品种。但是单株选择技术较复杂,所需时间较长;自花授粉蔬菜由于大多数个体属同质结合,通常只有第一次单株选择有明显的效果。异花授粉蔬菜,如株系间不加隔离,则因性状不同植株间的自由传粉,只能起到母系选择的作用。如进行隔离,不但较麻烦,而且经连续多次单株选择还会引起生活力衰退。因此,多次单株选择法主要应用于自花授粉蔬菜和常异交蔬菜杂交后代的选择。如武魁一号番茄就是利用此法选出的。单株家系选择法:其选择程序与多次单株选择法相似,差别在于设留种区留种。将每一中选单株(或株系)的种子分成两份,一份播在系统比较圃内,一份播种在留种区。在系统比较圃内各株系间不行隔离,以便精确地进行比较。在留种区内各株系间要进行隔离,以防株系间相互杂交。根据比较圃的鉴定结果,在留种区的各相应株系内选株留种。下年继续如法进行。此法解决了同一圃地内既要进行株系间比较,又要隔离留种的困难。在株系数较多时一般采用留种区内套袋隔离法,此法适用于两年生异花授粉蔬菜,如大白菜、结球甘蓝、萝卜等。每一植株(或株系)的种子无需分成两份,可全播种于系统比较圃,根据比较结果把选留株系的植株栽植到采种圃。

母系选择法

又称无隔离系谱选择法。用于异花授粉蔬菜,不行隔离,对花粉来源不加控制,选择只是根据母本的性状进行,所以称为母系选择法。其优点是无需隔离,较方便,同时生活力不易衰退;缺点是选优提纯的速度较慢。此法适用于大白菜、结球甘蓝等十字花科蔬菜。

双株系统选择法(双系法)

选择两株性状比较相似的优良植株,在隔离条件下任其相互授粉;可分单株采种进行单株系比较,也可将两株种子混合进行双株系比较。下代仍选两株最优植株栽在一起留种,继续进行选择,直至性状稳定再进行比较试验以选出新品种。此法性状的稳定快于集团选择。常用于异花授粉蔬菜的选种(如瓜类或十字花科蔬菜)。

改良混合选择法

混合选择法提纯的速度较慢,而单株选择法又较麻烦,因此在有些情况下常交互采用混合选择和单株选择结合起来的改良混合选择法。根据采用的先后次序,又可分为单株——混合选择法和混合——单株选择法。

轮回选择法

主要应用于异花授粉蔬菜。于第一年选株自交,同时每一株与同一测验种杂交,下一代比较各测交系,同时播种各自交系,根据各自交系的经济性状和测交组合比较试验的结果,选出最好的10个或稍多株系,并对这些自交系进行杂交,产生一个综合品种,以提高亲本品种群体内有利基因频率。每一综合品种经过1~2代内部授粉后,从中选株自交,进行连续几代自交分离纯化,最后再进行配合力测验选出所需自交系。也可以用第一次综合品种重复前述过程继续进行轮回选择。如果所用的测验者是相对稳定的、具有广泛遗传基础的开放授粉品种,则经过轮回选择可以提高自交系的一般配合力,因此称为一般配合力轮回选择;如果测验者是一个纯合的自交系,则提高的主要是对该测验者的特殊配合力,因此称为特殊配合力轮回选择。所谓交互轮回选择法就是用两个遗传差异较大和经济性状互补的品种,相互作为测验种按上述方法同时进行轮回选择。通过轮回选择可以打破不需要的基因连锁,积累影响数量性状的有利基因。

剩余种子选择法(半分法)

先从原始群体中进行单株选择,将每一入选单株的种子分成两份:一份播种于系统比较圃;另一份分别包装贮存,编上和系统比较圃内各株系相应的号码。从系统比较圃选出的株系并不留种,中选株系用贮存种子进行下一代播种。此法多用于瓜类蔬菜选种。准确地进行单株选择是整个选种工作的关键,常用的株选方法有如下几种:①分项累进淘汰法。按性状的相对重要性顺序排列,先按重要的性状进行选择,在入选株内再按次要性状进行选择,顺次累进淘汰。为保证最后能获得所需的株数,并在每次选择时都有所淘汰,应放宽重要性状的中选标准。即越排在前面的性状,其入选率越高,此法的不足之处是对次要性状进行选择时,部分重要性状较好的植株,可能由于其他性状较差而被淘汰。②分次分期淘汰法。按株选目标性状出现的先后,分次分期淘汰选择。在第一个目标性状显露时进行第一次鉴定,选取较多数量植株,做好标记;到第二个目标性状出现时在入选植株内淘汰该性状不合格株,除去标记,并继续依次进行选择。此法对重要经济性状陆续出现的蔬菜较为适用,缺点是较麻烦,易发生前期性状最优者由于后期性状较差而被淘汰的现象。

多次综合评比选择法

为常用的选择方法,一般分初选、复选和决选三次鉴定选择,根据植株性状的综合表现决定取舍。初选入选株数应多于计划株数的50%到一倍。在初选入选株内再按较高的综合性状标准进行复选,淘汰其部分植株。二年生蔬菜可将种株拔起进行决选,根据叶球及根部的性状再淘汰一次,最后将入选株栽在采种地。北方常将种株窖藏越冬,于翌春出窖时再选择一次,淘汰贮藏性差的种株。

限值淘汰选择法

对需要鉴定的性状分别规定一个最低的入选标准,选择时只选入各性状均达到规定标准的植株。此法对选择满足特殊需要的品种不适用,因为这种选择可能将其一特殊性状很突出而又具有其他一两个不良性状的植株淘汰。

加权评分比较选择法

根据各性状的相对重要性分别给予一加权数;把植株各性状的测定值乘加权数后相加,即得该植株的总分数,根据总分择优选拔。有些不便度量的性状可根据群体内的变异情况拟定分级标准,各株分别给予一定的级值,用级值乘加权数所得分数进行选择。用加权法评分时,各性状的优劣与数值大小的关系应予以统一,通常产量以数值大为优,而早熟性(天数)以数值小为优,抗病性以级值小为优。利用加权评分比较进行株选较为可靠,但计算比较麻烦,而且不易拟定出一个合理的加权系数。产量构成性状的加权数可根据它们与产量的相关系数确定;但产量、品质和生育期等性状的加权数,只能根据它们在育种目标中的相对重要性确定。

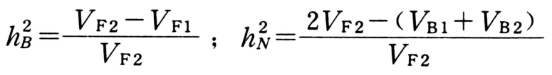
有人对单一性状选择法、限值淘汰法和指数选择法从理论上加以比较,发现单一性状选择法的效率最低。在遗传力和方差都相同的假定下,指数选择法的效率要比单一性状选择法的效率高倍,其中n是性状项目数。限值淘汰法的效率介于两者之间。即使在遗传力和方差不等的情况下,在理论上也是指数选择法的效率最高。遗传力(遗传传递力)的测定方法:遗传力指亲代传递其遗传特性的能力。遗传力大的性状受环境的影响较小,选择的效果较好;遗传力小的性状选择的效果较差。因此可把遗传力作为对杂种后代进行选择的一个指标。杂种后代的性状决定于基因型及其所受环境条件的影响。如以VVV分别代表表现型方差、基因型方差和环境方差,则V=V+V。表现型方差包括由遗传作用引起的和环境影响引起的方差,其中遗传方差占总方差的比值称为广义遗传力h2B,通常以百分率表示:

选种

从基因作用分析,基因型方差可以进一步分解为三个组成部分:基因加性方差(V)、显性方差(V)和上位性作用方差(V)。基因加性方差是指等位基因间和非等位基因间的累加作用引起的变异量,显性方差是指等位基因间相互作用引起的变异量,而上位性方差是指非等位基因间的相互作用引起的变异量。基因加性方差占表现型总方差的比值,称为狭义遗传力h2N,其计算公式为:

选种

基因加性方差是可固定的遗传变异量,因此狭义遗传力高的性状,从亲代传递给子代的能力强。遗传力的数值常随所用的材料及环境不同而有一定的变幅。在实际应用时必须注意用以估算遗传力的群体结构和环境条件与正在进行选择的群体结构和环境条件的相似程度,以及其他一些影响因素。

估算遗传力的方法有多种,其中较简便的方法是用F1和F2的方差估算广义遗传力;用VF2VB1VB2(F1和父母本回交后代的方差)估算狭义遗传力。估算公式分别为:

选种

选种程序

在选种过程中,从搜集研究原始材料到育成新品种,需要进行一系列选择淘汰和比较鉴定工作,程序和其他育种途径大同小异,通常要设原始材料圃、株系比较圃、品种比较预备试验圃和品种比较试验圃等,最后进入生产试验和区域试验(见)。